集现代数学非线性偏微分方程、流体物理和流体工程应用于一身的世纪性挑战,湍流这个百年来困扰流体科学和流动工程界的谜团,正在被快速发展的现代超算技术逐渐揭开其神秘面纱。应用现代湍流直接模拟数值方法,航空航天流动理论与工程的学科带头人,徐弘一研究员的研究在这方面取得了令人瞩目的进展,同时由此项研究所带动和驱动的各种以航空航天工程应用为导向的相关研究,无疑使得复旦在航空航天流动理论与工程领域进入和跻身到国际一流研究水平和研发队伍中,这主要包括:
1、湍流直接数值模拟方法,即基于Navier-Stokes方程的一般复杂边界璧湍流的直接求解技术是复旦航空航天系在流动理论与工程方面独具特色的一项研究。此研究直接导致了航空航天系建立起国内首个具有代表性和工业应用价值的各种类型壁湍流现代大型数据库,其中包括了描述复杂湍流动力学过程的完整信息,如湍流瞬时场、平均统计场、雷诺应力场以及湍流能量谱等。此数据库的建立,为开展航空航天领域各方向的高水准研究奠定了坚实的基础。
http://simplefluids.fudan.edu.cn


2、流固热强耦合数值仿真研究采用了浸边界流体和固体网格结合,同时联立和整体求解流体Navier-Stokes方程和固体导热方程。此项技术被首次成功地用于求解航空发动机高温涡轮叶片冷却结构中的冷-热流体流动换热和金属叶片固体导热。研究首次发现了流-固-热强耦合非定常过程中的一个重要准则数并初步建立了相关流-固-热强耦合数值仿真数据库。预期对此问题的深入探讨和相关研究将使复旦航空航天在航发高温涡轮叶片冷却领域的国际高端研发活动中获得重要地位并引领发展方向。
Ting Yu, Duo Wang, Heng Li, Hongyi Xu*, Direct numerical simulation capability for strongly-coupled fluid-solid heat transfer in film-cooling structures, International Journal of Heat and Mass Transfer, 138(2019) 750-761. https://doi.org/10.1016/j.ijheatmasstransfer.2019.04.061.


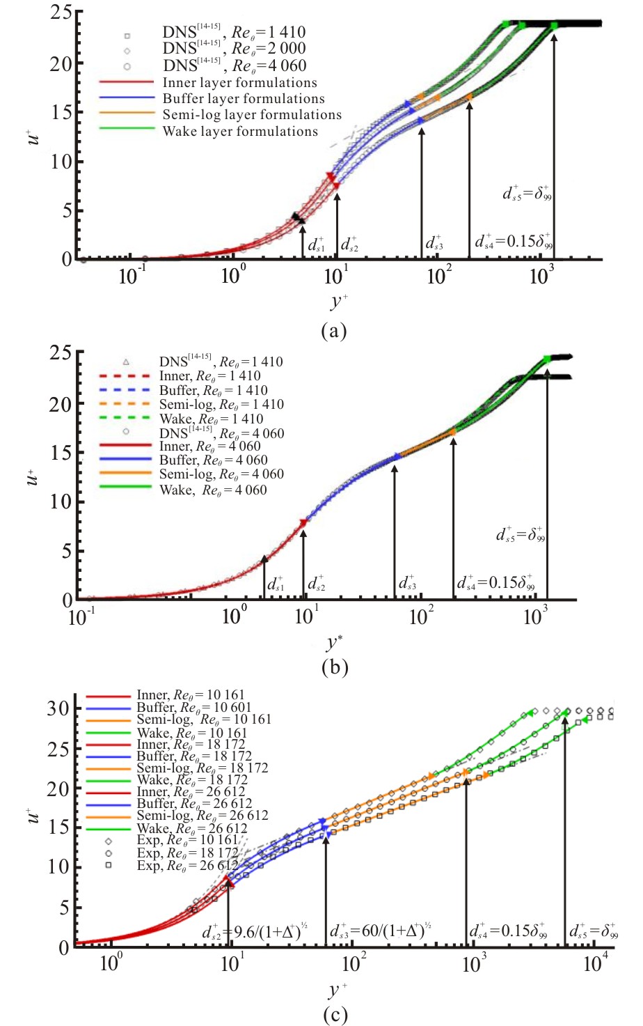
3、关于湍流不依赖于准则数的普适规律探索一直是湍流研究界追求的目标,也可以说是湍流研究的一个较高的境界。在复旦所构建的湍流统计大数据的引导下,徐和他的团队首次提出了一个新型边界层尺度,即时空间平均摩擦尺度,并系统地得到了不依赖于雷诺数的偏微分控制方程。由此开展了基于DNS大数据的湍流普适规律研究,首次应用指示函数定量定义了边界层各内部亚层,并进一步系统建立了热湍流边界层普适完整和统一的近壁规律和其解析表达,包括内层、过渡层、对数层和尾迹层。这是继上世纪初现代流体力学先驱普朗特和冯卡门提出湍流边界层概念并建立相关壁面律之后的湍流研究中的一项重大发现,将对湍流研究及其密切相关的对流换热和传热工程产生重要影响。
Duo Wang, Heng Li, Yuchen Li, Ting Yu, Hongyi Xu*, Direct numerical simulation and in-depth analysis of thermal turbulence in square annular duct, International Journal of Heat and Mass Transfer, 144(2019) 118590. https://doi.org/10.1016/j.ijheatmasstransfer.2019.118590.


4、新型湍流封闭模型
探索精确且普遍适用的雷诺平均湍流封闭模型一直是工程湍流模拟所致力要解决的难题。复旦航空航天所构建的湍流统计大数据为此目标的实现开启了一条可行的技术思路,并且进行了初步的概念验证。研究首先基于湍流统计大数据证明了传统湍流涡粘系数的缺陷,进而提出采用神经网络深度学习的手段,摒弃涡粘假设并构造隐含在神经网络中的新型湍流本构关系。在此基础上,通过由神经网络本构关系给出的雷诺应力得到了与直接数值模拟结果完全一致的湍流平均流场,包括流向速度场和湍流驱动的二次流,验证了此技术思路的可行性,为大数据时代新型湍流封闭模型的建立开辟新的技术路径。
王述之,战林浩,曹博超,徐弘一*,基于直接数值模拟数据和神经网络的湍流封闭模型构建,水动力学研究与进展,35卷(2), 2020。


5、流动旋涡识别技术
流体漩涡的识别量探索一直是相伴流体湍流问题的另一项重大挑战,在壁湍流漩涡相干结构的机理研究中,有着重要意义。徐弘一团队与美国德州大学阿灵顿分校刘超群教授密切合作,在湍流涡识别领域获得了世纪性重要突破。继刘超群教授给出了漩涡运动的严格数学定义Liutex之后,徐发展出了基于计算机的涡核线自动识别技术,开启了湍流场严格涡结构,即大规模涡核线可视化的先河.此研究对后续热湍流中涡结构及其演化,以及相关传热结构特征,具有里程碑式的意义。研究的阶段性成果已由世界著名出版商(Elsevier)接受,并正在发表专著。
Liutex and Its Applications in Turbulence Research 1st Edition, Authored by Chaoqun Liu, Hongyi Xu, Xiaoshu Cai, Yisheng Gao, Published by Elsevier with ISBN-13: 978-0128190234 and ISBN-10: 012819023X


6、飞行结冰数值仿真技术融现代流动-传热直接数值仿真,超冷水滴颗粒轨迹计算和物体表面成冰热力模型为一体,构建具有自主知识产权的飞行结冰数值仿真平台,形成对飞行器各种功能部件的飞行结冰过程的数值仿真能力。由此所构建的飞行器和发动机功能部件的飞行结冰仿真测量大数据及其分析结果和总结出的规律,将为飞行器和发动机在结冰条件下的安全飞行和适航论证提供基础工程物理数据支撑,确保功能元部件的设计和工作条件满足适航要求。


