学生内部网
教师内部网
会议室预订(内网)
导航
首页
学院概况
学院简介
学院环境
组织架构
学院党政领导
党委分工
行政分工
学术委员会
学位评定分委员会
教学指导委员会
课程思政与教材建设领导小组
高级职务评审委员会
人才工作小组
人事工作小组
岗位设置与聘用、聘任工作小组
学科建设领导小组
博士后流动站专家组
计算机科学与技术流动站
网络空间安全流动站
教工之家
职能部门
历史沿革
师资队伍
在职教师
教师名录
人才计划
兼职教授
人才培养
本科生教学
教学动态
专业介绍
培养方案
研究生教学
教学动态
招生信息
培养方案
课程建设
学位申请
非全专硕
教学成果
精品课程
一流课程
教学成果奖
课程思政
工作动态
建设成果
机构设置
相关文档
科学研究
科研快讯
科研机构
省部级科研平台
学科方向
科研成果
国家级奖项
省部级奖项
学生工作
学生活动
通知公告
党建思政
二十大专栏
理论学习
不忘初心 牢记使命
经典文献
政策法规
党建动态
工青妇建
工会活动
青年联谊
妇女风采
退休园地
退休动态
退休党建
退休风采
对外交流
交流动态
海外交流
合作高校
学生交流
教师交流
校友中心
校友会概况
章程
理事会
校友组织
校友服务
校友风采
校友采访
校友动态
荣誉奖项
校友活动
校友名录
发展与捐赠
新闻动态
基金项目
当前位置:
首页
重要通知
重要通知
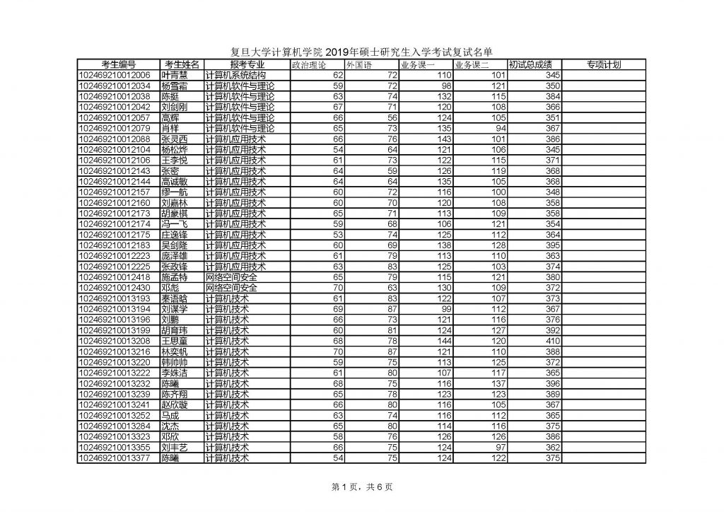
2026年足球世界杯直播计算机学院 2019 年硕士研究生入学考试复试名单
作者:
发布时间:2019-03-12
浏览量:
747
map