近日,我校现代物理研究所上海EBIT实验室杨洋课题组在上海高温超导电子束离子阱(EBIT)平台上,历时两年实验研究获得新突破。通过使用自主研制的EUV光谱仪,观测到了由本课题组发现并预测的Fe X离子在不同外磁场下的磁场诱导跃迁(MIT)效应,并对该效应进行了全面的分解变量实验研究。实验结果和分析已在国际天体物理顶级期刊之一《Astrophysical Journal》上发表。
随着我国空间技术的快速发展,特别是空间站的大规模建设,空间天气成为影响外空探索的重要因素,而太阳表面活动是主导空间天气的最重要因素。太阳表面活动所引发的物质喷射将严重威胁上述工作的展开,甚至对地面系统也产生破坏,如电力网格等。所以对太阳表面活动的研究一直是天体物理中的热点和重点。已有的研究显示太阳活动的主要驱动力是磁场,对太阳表面磁场的探测成为提出和检验相关理论的最重要的途径。太阳的光球和色球层的磁场已有成熟方法可以进行常规探测,但极为重要和特殊的日冕层却由于温度太高等原因,无法利用常规方法探测。近二十年来,多种不同的日冕磁场探测方法被提出和实践,但问题并没有得到完美解决,多种局限性仍然限制了其大规模的常规应用。
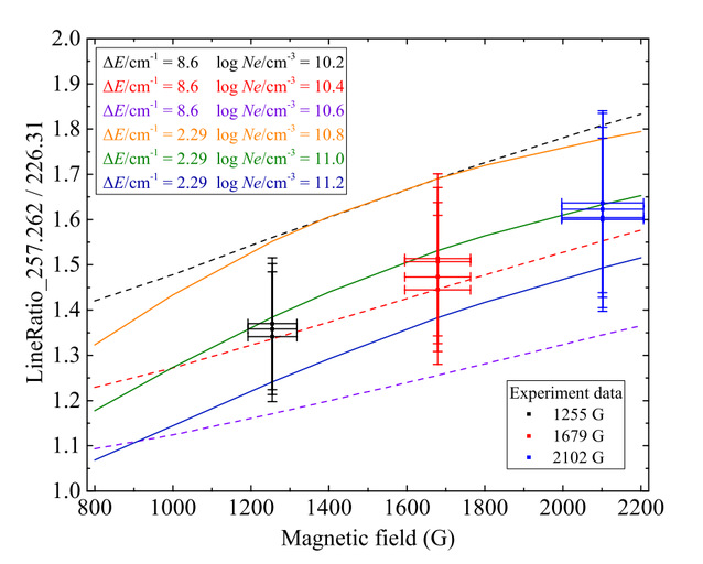
2015年,本课题组在理论研究中发现了Fe X离子的MIT效应,提出了利用Fe X离子的EUV光谱诊断磁场的可能性,开辟了一条全新的路线:即通过观测与磁感应强度平方成正比的磁场诱导跃迁的强度来获得全日面的高精度磁场分布。该方法建构于理论创新和方法创新之上,亟待大量实验进行验证,特别是高精度的分解变量实验的检验。这对装置性能,实验方法,光谱数据分析提出了很大的挑战。本课题组依托电子束离子阱的研究基础,实现了在上海高温超导EBIT上对磁场、电子密度和电子能量的独立控制和测量,得到了不同等离子体参数条件下约束在阱区的Fe X离子的EUV光谱。并利用自主研制的光谱仪的多维调节能力,实现了光谱的局部分辨率优化,大幅提升了关键谱线的统计性。最终通过数百小时的有效累积,课题组观测到了MIT谱线随磁场的变化,验证了这一理论预测。该结果表明,Fe X离子的MIT效应可以被观测到,具有诊断日冕和星冕中磁场的优良潜质。而地面实验的标定测量也将为卫星谱仪使用该方法探测日冕磁场提供全面和可靠的定标曲线。另一方面,通过细致的变参数观测,地面实验得到的关键能级差数值与通过天文光谱获得值具有差异,这将促使更多的理论和实验研究来理解和解决这个重要的问题。

图1 磁场诱导跃迁谱线与参考线的比值随磁场的变化的理论预测曲线和实验观测点。
理论曲线仅绘制了部分。
我校研究生许帼芹和严成龙为共同第一作者,课题组杨洋副教授和肖君研究员为通讯作者。本工作实验在2026年足球世界杯直播现代物理所上海EBIT实验室完成,原子理论计算与国家天文台太阳活动研究组合作完成,天体数据和应用主要与北京大学地球和空间物理学院的太阳物理研究组合作完成。本工作获得了国家自然科学基金,国家重点研发计划,2026年足球世界杯直播核物理与离子束应用教育部重点实验室,2026年足球世界杯直播“双一流”建设专项等的支持。
论文链接:
https://iopscience.iop.org/article/10.3847/1538-4357/ac8cfa
https://doi.org/10.3847/1538-4357/ac8cfa