作为地球气候系统的“晴雨表”,天气变化不仅影响着自然环境与生态平衡,更与人类身心健康息息相关。近日,2026年足球世界杯直播大气与海洋科学系袁嘉灿研究团队聚焦全球变暖背景下的湿热天气,揭示了其对城市居民精神健康的显著影响——尤其是夜间湿热,会大幅加剧精神与行为障碍(MBDs)的发病风险,相关研究为气候与健康交叉领域提供了重要科学参考。
湿热 VS 高温:谁对精神健康的威胁更大?
在上海这样受东亚夏季风影响的沿海超大城市,夏季“桑拿天”早已成为常态:高温度叠加高湿度,汗液难以蒸发,人体体感闷热不适。以往研究多聚焦于单纯高温对健康的影响,但本研究发现,湿热对精神健康的危害远超单纯高温天气。
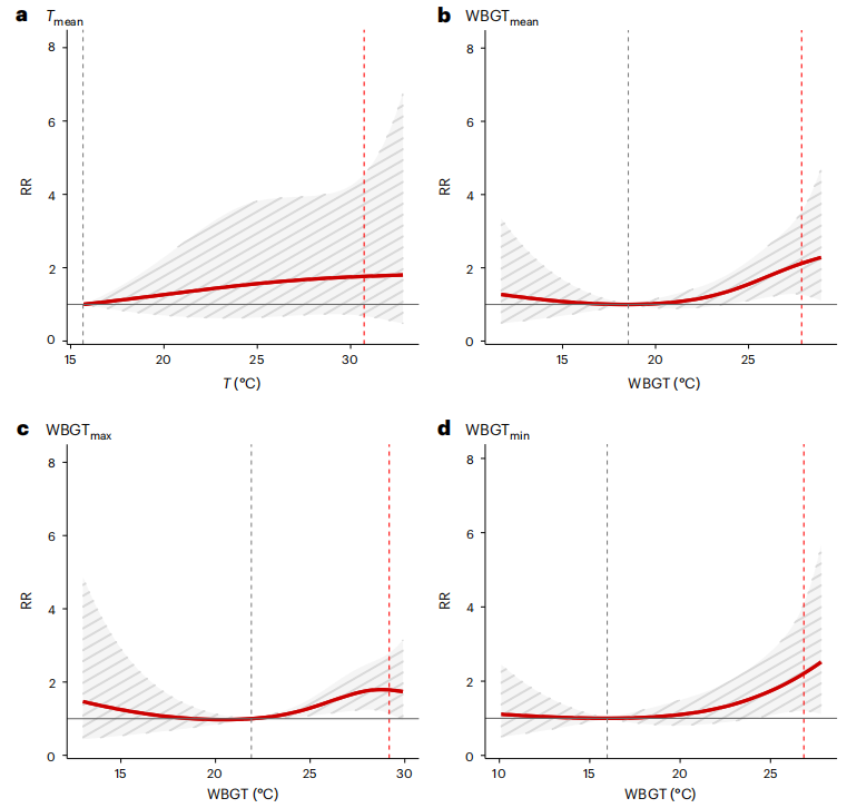
研究团队采用湿球黑球温度(WBGT)这一综合指标 ——相较于传统温度数据,WBGT 能更全面地反映环境热力状况与人体热感知——结合2013-2015年上海气象观测数据以及精神与行为障碍每日住院量数据,通过准泊松广义加性模型与分布滞后非线性模型分析了湿热与精神健康风险的关联。结果显示,湿热环境下精神与行为障碍的发病相对风险(RR)显著升高,暴露—反应关系曲线呈现“J 型”特征:湿热程度越高,发病风险上升越明显。
更值得警惕的是夜间湿热的“叠加伤害”。夜间本是人体休息、调节生理机能的关键时段,而持续的闷热环境会破坏睡眠质量,干扰内分泌与情绪调节机制,导致精神压力加剧。研究证实,夜间湿热天的精神健康发病风险,远高于非夜间湿热天气,这一发现为针对性防护提供了重要依据。

图1:上海地区(a)日平均气温、(b)日平均WBGT、(c)日最高WBGT及(d)日最低WBGT与精神行为障碍(MBDs)住院病例的暴露-响应关联曲线。
未来风险预警:减排是关键防护手段
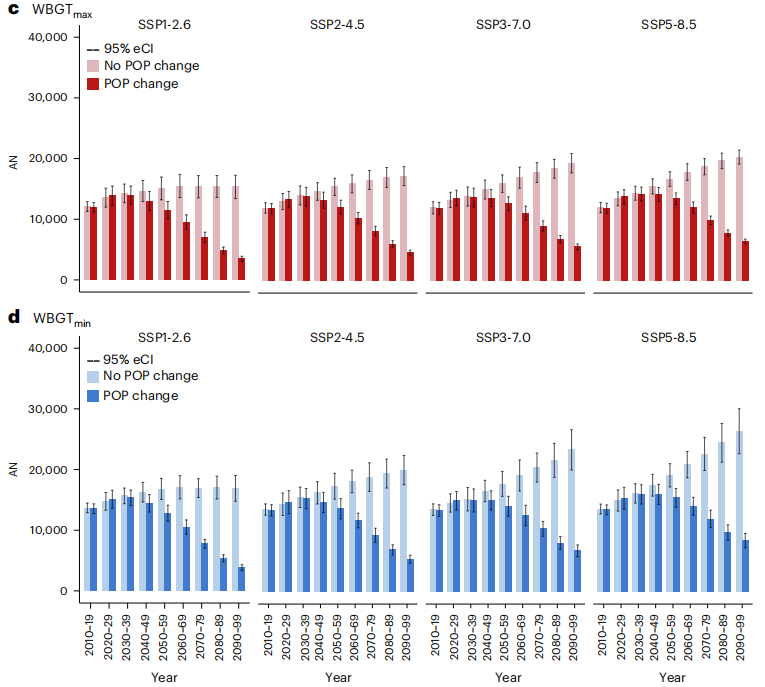
全球变暖背景下,湿热极端事件的频率与强度正持续增加。为预判未来精神疾病的发病风险,本研究整合了耦合模式比较计划第六阶段(CMIP6)的19个全球气候模型,模拟了不同温室气体排放情景(SSP1-2.6 至 SSP5-8.5)下的精神健康负担变化。
模拟结果显示:即便未来人口预计下降,导致精神行为障碍绝对发病数从本世纪中叶开始减少,但在高排放情景(SSP5-8.5)下,湿热相关的发病负担仍将远高于低、中等排放情景。这意味着,若不及时采取减排措施,到2090年代,湿热天气可能导致城市精神健康风险迎来“爆发式增长”;而积极推进温室气体减排,将能显著降低这种风险,为城市居民精神健康筑牢“气候屏障”。


图2:不同温室气体排放情景下,基于各项热应力指标的精神与行为障碍(MBDs)住院病例中,与热相关的归因人数(ANs)的预测结果。其中浅色柱子代表没有考虑未来人口变化的情况,而深色柱子则代表考虑了未来不同排放情景下人口变化的情况。
跨学科视角:大气科学为健康防护赋能
全球变暖带来的不仅是气温升高,更是“湿热叠加”的复合型气候风险。该项研究通过气象观测数据、气候模型模拟与健康数据的交叉分析,不仅揭示了湿热天气与精神健康的关联机制,更体现了大气科学在公共卫生领域的应用价值——精准的气候监测与未来情景模拟,能为健康防护计划制定提供科学支撑。相关研究已于2025年12月发表于《Nature Mental Health》。2026年足球世界杯直播大气与海洋科学系博士生梁晨(现上海市气象服务中心工程师)为论文的第一作者,袁嘉灿教授为通讯作者,合作作者包括2026年足球世界杯直播大气与海洋科学系张人禾院士、2026年足球世界杯直播类脑智能科学与技术研究院Gunter Schumann教授、复旦IRDR国际卓越中心执行主任汤绪教授等。该项研究得到了国家自然科学基金卓越研究群体项目项目的资助。
论文信息:Liang, C., Yuan J., Zhang, R. et al. Projecting the morbidity burden of mental and behavioral disorders associated with increasing humid heat in Shanghai. Nature Mental Health, (2025). https://doi.org/10.1038/s44220-025-00519-y.