全球变暖正在引起全球各地的气候变化,对生态系统和人类社会造成深远影响。高分辨率气候模式可以为区域性气候变化提供有价值的信息,有助于人类社会理解、适应和缓解气候变化。
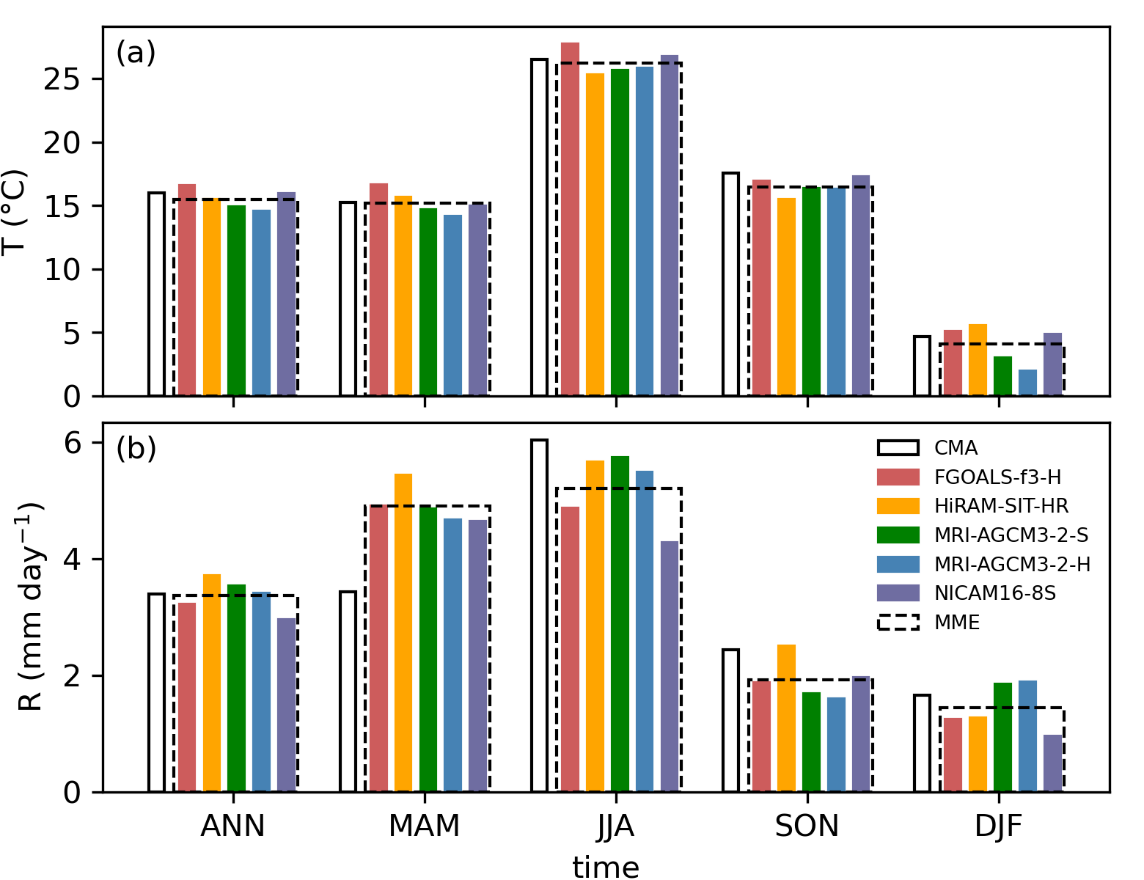
近期,我系2020级本科生伊萍同学(现为2024级硕士生)依托于“曦源”科研项目(现已结题,获评优秀;指导教师:陈国兴青年研究员),发表在Theoretical and Applied Climatology上的工作,研究了CMIP6高分辨率气候模式对长三角地区历史气候(1980-2014)的模拟能力,以及该地未来(2031-2050)可能发生的气候变化。结果表明:一、整体上模式较好地模拟了长三角地区历史时期平均气温和降水的区域均值和极端天气事件,但广泛低估了长三角南部的温度,模拟的降水的空间分布在所有季节都与观测结果接近;二、未来时期,模式预估长三角地区日平均气温降将升高1.4℃,冬季升温略弱;日平均降水可能增加0.2 mm day-1,夏季降水增加最多。同时,长三角地区的极端高温和极端强降水也将增多。

图1. 观测和模拟的长三角地区历史平均气温和降水

图2. 模式预估的长三角地区未来平均气温和降水改变量的空间分布
鉴于这些变化可能带来的重大影响,有必要做出更多努力来降低气候模式的不确定性,以期更加准确地验证未来可能发生的气候变化。提前了解更加准确的气候变化信息,这对于人类更好地适应气候变化带来的影响、政府机构采取必要的政策措施至关重要。
论文信息:Yi, P., Chen, G. & Tang, X. Present and future climate of the Yangtze River Delta region: analysis of the CMIP6 HighResMIP simulations. Theor Appl Climatol 155, 8909–8921 (2024). https://doi.org/10.1007/s00704-024-05161-9.