深对流系统(DCS)一般由强降水对流核区(CC)、降水层状云区(SR)以及非降水卷云云砧区(CA)构成,其演化发展过程往往伴随着雷暴、强降水、冰雹等灾害性天气。作为世界上平均海拔最高的高原,青藏高原上空发展的深对流系统对区域水循环以及全球物质传输具有重要作用。然而,过去研究大多是基于星载雷达主动探测资料以及静止卫星观测亮温资料来分析青藏高原DCS的时空变化,不仅时空分辨率较低,无法捕捉DCS完整的生命周期,而且对其生命属性以及云物理属性的认识还不够全面。
为此,2026年足球世界杯直播大气与海洋科学系张峰教授团队及其合作者基于自主研发的风云四号静止卫星全天时云物理属性反演产品(时间分辨率15 min;空间分辨率4 km),使用三维分割的有组织对流追踪方法(TOOCAN-CPP)实现了2022-2024年夏季(6-8月)青藏高原及其周边地区DCS的全天时自动识别与追踪。基于识别和追踪结果,首次揭示了青藏高原DCS云物理属性的日变化特征和DCS生命属性的时空变化特征。研究结果发现,受南亚夏季风水汽输送、地形抬升以及热力作用等因素影响,DCS分布自东向西、自南向北逐渐减少,主要聚集在恒河平原、喜马拉雅山南麓及青藏高原中部等地区(图1f)。青藏高原及其周边地区 DCS 数量呈单峰型日变化,但二者之间存在约2小时的相位差(图1a和1b)。青藏高原DCS及其内部CC和SR区域的面积以及降水率平均值均低于其周边地区(图1c-1k)。此外,在午后(当地时12:00-18:00)对流发展旺盛时段,DCS持续时间长,但水平移动缓慢,而在上午时段(当地时06:00-12:00)DCS持续时间短,但水平移动较快(图1e和1g)。

图1. 2022-2024年夏季青藏高原及其周边地区 (f) DCS空间分布,以及 (a) DCS数量、(b)初始DCS数量、(c) DCS面积、(d) DCS降水率 (RR)、(h-k) 对流核区 (CC) 和层状云区 (SR) 面积和降水率日变化曲线、(e) 不同时间段内DCS持续时间和 (g) 移动速度。图f中黑色线以内为海拔2500m以上的青藏高原地区,黑色线以外为海拔2500m以下的周边地区。
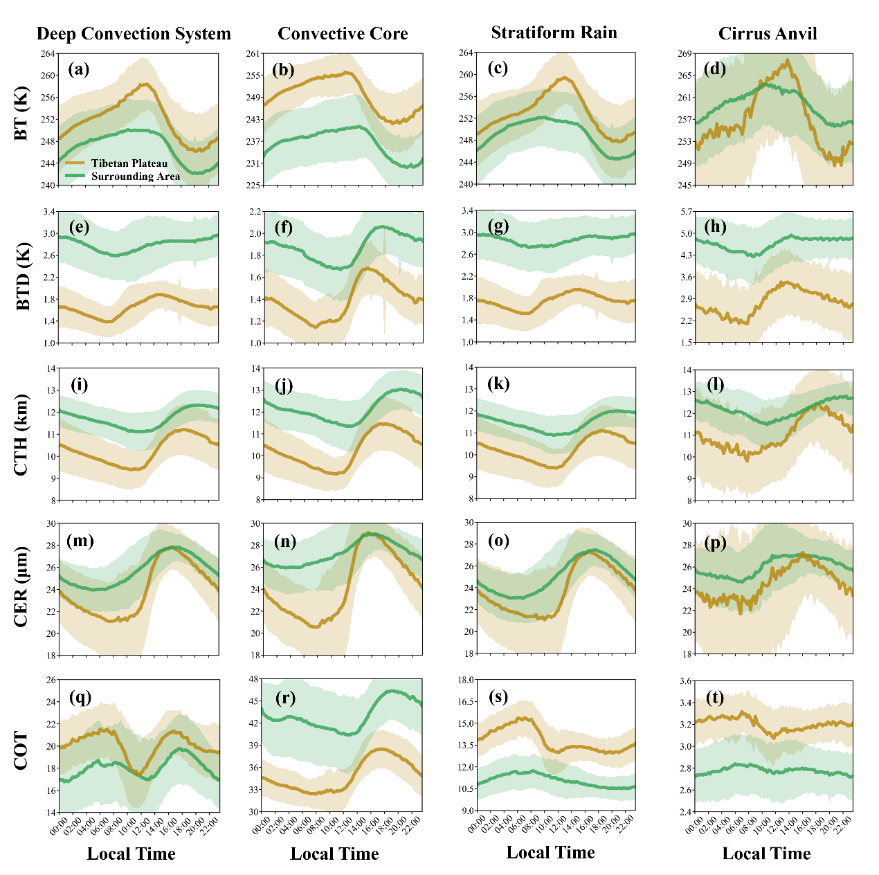
传统的方法通常采用单一12 μm通道亮温以及10.8和12 μm两通道亮温差来研究DCS的日变化特征,我们的研究表明单一通道亮温(图2a-2d)以及两通道亮温差(图2e-2h)与DCS云物理属性(图2i-2t)的日变化特征不能完全对应,这说明仅仅通过亮温和亮温差的研究方法不能准确表征DCS的演变过程。本研究进一步基于全天时云物理属性产品来揭示了青藏高原及其周边地区DCS云物理属性,包括云顶高度(CTH)、云粒子有效半径(CER)以及云光学厚度(COT)的日变化特征(图2i-2t)。可以发现CTH和CER日变化呈单峰型,而COT日变化呈双峰型。青藏高原地区的平均CTH和CER显著低于周边地区,而COT则相反。综合DCS生命属性和云物理属性特征,发现青藏高原及其周边地区均以小尺寸(对流核半径<50km)、短生命周期(持续时间<6h)DCS为主。随着DCS尺寸增大或生命周期延长,CTH、CER、COT及降水强度均显著增加,但青藏高原地区DCS的平均尺寸更小(对流核半径:36.40 km<38.14 km)、持续时间更短(持续时间:193.47 min < 212.44 min)、水平移速更慢(MS: 0.27 km/h < 0.31 km/h),且降水强度仅为周边地区的30%(降水率:0.21 mm/h<0.69 mm/h)。

图2. 2022-2024年夏季青藏高原及其周边地区DCS及内部对流核区、层状云区和卷云云砧区的(a-d) 12 μm通道亮温 (BT)、(e-h) 10.8 μm与12 μm通道亮温差 (BTD)、(i-l) 云顶高度 (CTH)、(m-p) 云粒子有效半径 (CER) 和 (q-t) 云光学厚度 (COT) 日变化曲线。
上述相关成果已发表在Geophysical Research Letters杂志上,第一作者是2026年足球世界杯直播博士生赵志军,通讯作者为2026年足球世界杯直播大气与海洋科学系张峰教授。论文共同作者还包括上海理工大学光电信息与计算机工程学院李雯雯讲师、南京大学大气科学学院杨犇副教授、上海市气象局贺千山研究院、浙江师范大学物理与电子信息工程学院付浩阳讲师以及中国气象局人工影响天气中心蔡淼高级工程师。
论文信息:
Zhao, Z., Zhang, F., Li, W., Yang, B., He, Q., Fu, H., & Cai, M. (2025). Identification and tracking of deep convection systems over the Tibetan Plateau and its surrounding areas in summer using all‐day cloud physical properties. Geophysical Research Letters, 52, e2025GL118433. https://doi.org/10.1029/2025GL118433.