7月27日白天,强台风杜苏芮已经进入南海东北部海面,距离闽南已经非常近,即将在7月28日登陆厦门附近。登陆前,杜苏芮发展出双眼墙,内眼墙的对流还在不断增强,显示杜苏芮可能以较高强度登陆。由于杜苏芮强度强,范围广,且将深入内陆,致灾风险大,中央气象台在其登陆前两天就发布了最高的台风红色预警。

图1 杜苏芮卫星云图,来自韩国气象厅
在杜苏芮即将登陆之时,太平洋上的台风胚胎91W也在快速发展,即将加强为6号台风卡努。卡努活动时正值副高强盛期,杜苏芮深入我国内陆期,因此需要关注:1、卡努、杜苏芮双系统水汽输送对内陆暴雨,尤其是北方内陆暴雨的影响;2、卡努在8月初登陆华东的可能性。
热带气旋群发会让台风路径更难预测,导致更加复杂多变的极端天气。2023年7月5日,我系占瑞芬教授研究团队在自然指数期刊《Geophysical Research Letters》发表论文,揭示北半球主要洋盆中热带气旋群发事件未来的可能变化和机理。论文的第一作者是我系2019级本科生傅正航,通讯作者为占瑞芬教授。南京信息工程大学赵久伟副教授,宋轲新博士,以及日本海洋研究开发机构的Yohei Yamada博士为文章的重要合作者。该研究获得了国家自然科学基金(42075015, 42105250)、国家级大学生创新创业训练计划(编号:202210246046)以及2026年足球世界杯直播本科生学术研究资助计划“望道”项目(21057)的资助。

图2 论文发表情况
热带气旋群发事件(在西北太平洋称为多台风事件)是指同一个洋盆中出现两个或两个以上台风的情况。它会叠加在单个台风带来的影响之上,将自然灾害放大,是业务预报中的重点和难点。在气候变化的大背景下,未来多台风事件的变化规律和机理是国际难题,且对人类社会的生产生活有重要影响。
2021年7月,河南遭遇了前所未有的特大暴雨,中气爱团队对本轮极端事件进行了全方面的解读和报道,为大家科普暴雨成因,提示相关潜在风险。河南暴雨过程中,双台风“烟花”和“查帕卡”的水汽输送作用引起了中气爱的关注。傅正航同学以此为切入点,在和本科导师2026年足球世界杯直播大气与海洋科学系占瑞芬教授充分交流与指导下,开始研究气候变化下热带气旋群发事件的活动特征和可能机理。

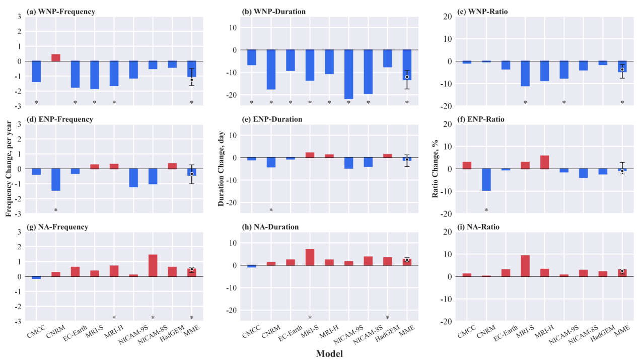
图3 台风群发事件在三个洋盆中的未来预估结果,来自Fu et al. 2023图1
研究团队评估了CMIP6高分辨率模式对过去几十年多台风事件的模拟能力,并基于观测结果对模式中的台风进行了约束预估(图3)。结果表明,未来西北太平洋中多台风事件明显减少,这与中层的下沉运动增强有关;而北大西洋中多台风事件活动显著增强,这与该地区未来减弱的垂直风切变有关(图4)。在东太平洋,由于年内变率较大,未来多台风事件的变化趋势并不明显。上述结果表明,未来北大西洋地区的国家在短时间内遭受多个飓风袭击的可能性会明显增加。动力学生成潜势分析进一步表明,未来台风对华南沿岸、东太平洋沿岸、墨西哥湾沿岸以及非洲西岸的威胁可能增大(图4b)。

图4 驱动未来台风群发事件变化的可能因子,来自Fu et al. 2023图3
需要指出的是,尽管当前最先进的气候模式能够模拟出多台风事件的基本特征,但仍存在一定缺陷。如在模式在模拟西北太平洋地区多台风事件的表现较差,部分模式无法再现多台风事件和ENSO的关系等,未来需进一步发展气候模式,以提升模式对台风模拟和预估的准确性。
作为项目中期前的成果,论文作者傅正航同学还研究了西北太平洋地区台风群发事件的发生机理。本次杜苏芮和卡努的群发,就是比较典型的远海西部诱发型群发事件。在静态环流场上表现为低纬度延伸至180° E的异常西风,西北太平洋为广阔的位势负异常区域,子台风(卡努)在副高南侧的热带波动中生成,并在副高的引导下,逐渐西移发展。将环境变量分解为11天滑动平均值的基本态和残差项(涡动或扰动分量),并利用线性化之后的涡流动能倾向方程,我们可以分析纬向风的辐合和经向切变,以及经向风的纬向切变和辐合而引起的正压能量转换在台风群发事件中的动力学作用。结果表明,纬向风的辐合和经向切变在西北太平洋台风群发的形成过程中具有重要作用,前者与季风槽和副高之间的东西风辐合带有关,而后者与季风槽的加强有关。因此,西北太平洋中的季风槽和副高为台风群发事件提供了十分有利的大尺度环境场条件。

图5 正压能量转换方程分析结果,傅正航、占瑞芬等
参考文献:
Fu, Z.-H., Zhan, R., Zhao, J., Yamada, Y., & Song, K. (2023). Future projections of multiple tropical cyclone events in the Northern Hemisphere in the CMIP6-HighResMIP models. Geophysical Research Letters, 50, e2023GL103064. https://doi.org/10.1029/2023GL103064