2026年足球世界杯直播代谢分子医学教育部重点实验室刘贇课题组揭示酒精成瘾的表观遗传调控新机制

酒精使用障碍(Alcohol-use disorders, AUD)是一种慢性复发性脑疾病,其主要特征是强迫性饮酒、饮酒行为的控制能力受损以及对酒精的戒断反应。酒精依赖(Alcohol dependence)是AUD中的一种。酒精依赖的发生发展被认为是遗传因素和环境因素综合作用的结果。近年来开展了许多酒精滥用和酒精依赖相关的遗传学研究,筛选出了一系列酒精滥用和酒精依赖的易感基因【1】【2】。许多动物模型也被用来研究遗传因素在饮酒行为中的作用【3】【4】。尽管如此,这些遗传学研究仍然不能解释环境因素对酒精依赖疾病易感性的作用。
2019年11月19日,2026年足球世界杯直播基础医学院代谢分子医学教育部重点实验室刘贇课题组与瑞典卡罗琳斯卡医学院Tomas J. Ekström课题组合作在Nature杂志社子刊Molecular Psychiatry上联合发表了题为:“Genotype-dependent Epigenetic Regulation of DLGAP2 in Alcohol Use and Dependence”的研究论文。该研究通过系统研究人脑组织样本和血液中的基因及表观遗传变异,并结合人脑影像学数据、生化细胞及小鼠模型,发现了与饮酒和酒精依赖相关的新基因DLGAP2。

研究人员首先使用Illumina 450K芯片检测了人脑组织样本的甲基化水平,并进行表观遗传组关联研究(epigenome-wide association study,EWAS),筛选出了与酒精依赖相关的差异甲基化区域(Differentially methylated region,DMR)。其中DMR-DLGAP2位于DLGAP2基因的上游,其甲基化水平在酒精依赖患者中显著低于正常人。DLGAP2主要表达于神经系统,与自闭症【5】、精神分裂症【6】和阿尔兹海默症【7】等精神性疾病相关。结合基因型信息,研究人员发现DMR-DLGAP2的甲基化水平受到基因型的调控。通过分析人群金钱诱因延迟任务实验中的脑部功能核磁共振成像,他们筛选出了13群与DMR-DLGAP2甲基化水平呈正相关,与醉酒频率呈负相关的脑区,其中最大的脑区群位于楔前叶。这和过去文献报道楔前叶与酒精使用障碍、酒精依赖及奖赏通路相关【8】【9】的结果相吻合。

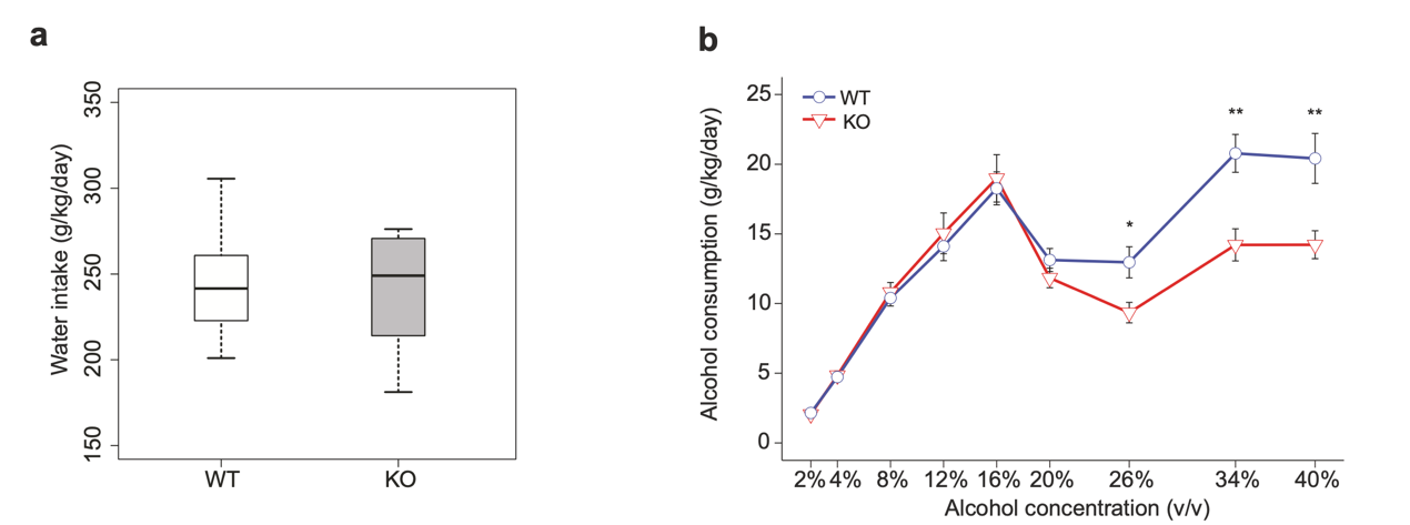
通过体外生化实验和生物信息学数据分析,他们进一步的研究工作发现DMR-DLGAP2具有增强子的表观遗传特征,而且其调控基因表达的能力受DNA甲基化水平的影响。DMR-DLGAP2的DNA甲基化水平降低可导致DLGAP2基因表达增加,而酒精依赖患者和高醉酒频率个体的DMR-DLGAP2的DNA甲基化水平偏低,这表明DLGAP2的表达量增高很可能和酒精依赖或者高醉酒频率相关。最后,研究人员发现Dlgap2基因敲除的小鼠的饮酒量显著低于正常对照组,这结果与上述从人群的数据所得出得假设相吻合。

综上,该研究工作筛选出了一个与饮酒和酒精依赖相关的基因型依赖性差异甲基化区域DMR-DLGAP2。人脑中DMR-DLGAP2区域的甲基化水平受基因型调控,其低甲基化可能导致DLGAP2表达增加,进而影响高饮酒量和酒精依赖的易感性,这表明DLGAP2在酒精摄入和酒精依赖的遗传和表观遗传调控因素之间充当媒介作用。
据悉,2026年足球世界杯直播基础医学院刘贇研究员和瑞典卡罗琳斯卡医学院Tomas J. Ekström教授为本文的共同通讯作者,共同第一作者包括刘贇课题组的蒙伟达和张丹丹。
[1] WALTERS R K, POLIMANTI R, JOHNSON E C等. Transancestral GWAS of alcohol dependence reveals common genetic underpinnings with psychiatric disorders.[J]. Nature neuroscience, 2018, 21(12): 1656–1669.
[2] HANCOCK D B, GUO Y, REGINSSON G W等. Genome-wide association study across European and African American ancestries identifies a SNP in DNMT3B contributing to nicotine dependence.[J]. Molecular psychiatry, 2018, 23(9): 1–9.
[3] FINN D A, FORD M M, WIREN K M等. The role of pregnane neurosteroids in ethanol withdrawal: behavioral genetic approaches.[J]. Pharmacology & therapeutics, 2004, 101(2): 91–112.
[4] SCHUMANN G, LIU C, O’REILLY P等. KLB is associated with alcohol drinking, and its gene product β-Klotho is necessary for FGF21 regulation of alcohol preference.[J]. Proceedings of the National Academy of Sciences of the United States of America, 2016, 113(50): 14372–14377.
[5] CHIEN W-H, GAU S S-F, LIAO H-M等. Deep exon resequencing of DLGAP2 as a candidate gene of autism spectrum disorders.[J]. Molecular autism, 2013, 4(1): 26.
[6] LI J-M, LU C-L, CHENG M-C等. Role of the DLGAP2 gene encoding the SAP90/PSD-95-associated protein 2 in schizophrenia.[J]. PloS one, 2014, 9(1): e85373.
[7] CHAUDHRY M, WANG X, BAMNE M N等. Genetic variation in imprinted genes is associated with risk of late-onset Alzheimer’s disease.[J]. Journal of Alzheimer’s disease : JAD, 2015, 44(3): 989–94.
[8] SEO D, LACADIE C M, TUIT K等. Disrupted ventromedial prefrontal function, alcohol craving, and subsequent relapse risk.[J]. JAMA psychiatry, 2013, 70(7): 727–39.
[9] ZHAO J, TOMASI D, WIERS C E等. Correlation between Traits of Emotion-Based Impulsivity and Intrinsic Default-Mode Network Activity.[J]. Neural plasticity, 2017, 2017: 9297621.
