最后,Piketty通过深入的研究发现,当资本回报率高于经济增长率时,不均等就会上升。毋庸置疑,资本在全球逐利(尤其是在资本缺乏的发展中国家逐利)不会获得小于在资本相对丰富的发达国家境内所能获得的回报率。基于Penn World Table的数据,我们可以计算资本的平均回报率,发现很多年份在不少国家的估算值大于30%,这远远高于任何一个国家在任何时期的平均增长率。所以,自20世纪80年代全球化加速以来,不均等成为了一个越发严重的经济、社会甚至政治问题,最终可能导致本轮全球化的终结。
遗憾的是,Piketty在其著作和论文里没有严格证明当资本回报率大于增长率时,不均等必然上升。为弥补这个理论上的空缺,本文提供以下的证明。
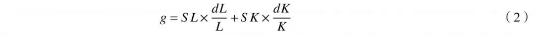
设加总生产函数为GDP = f(L,K),其中L,K为劳动和资本投入。用W,r分别代表工资和资本的边际产出(即要素回报率),对生产函数求全微分,并整理可得:

这里g代表经济增长率。用SL和SK分别代表劳动和资本收入占比(SL+SK=1),上式可以表示为:

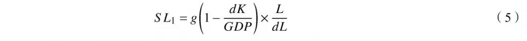
将资本回报率表示为r=cg,基于(1)和(2)可以得到:

这时的劳动占比可以表示为:

当r=g即c=1时,其对应的劳动占比为

这样一来,劳动占比的变化为

当c=1时,r=g,△SL=0。如果c>1,(即r>g),在通常经济增长的情况下(dL,dK>0),有△SL< 0,即劳动占比下降。这证明了Piketty的理论。
接着,我们来证明,在其他条件不变的情况下,劳动占比下降意味着收入不均等的增加。根据汪晨等观点:
其中CL和CK分别代表劳动收入与资本收入的集中系数。一般来说,资本收入分配高度不均,即CK>CL>0,所以,我们设CK=mxCL,m>1。这时,代表收入不均等的基尼系数可以表示为:

这样一来:
,当且仅当m>1 时。所以劳动占比与基尼系数负相关。

