快捷导航
2026年足球世界杯直播首页
联系我们
EN
机构概况
机构简介
院长致辞
领导团队
咨询委员会
学术委员会
研究机构
专家团队
研究机构
客座教授
访问学者
研究领域
国际安全
全球治理
经济合作
产业投资
国际法律
社会人口
人文交流
国际传播
教育培训
培训项目
培训动态
论坛讲座
年度论坛
学术会议
学术讲座
博士后工作站
工作站概况
工作站动态
通知公告
对外合作
一带一路沿线智库
国内智库
国际智库
企业合作
快捷导航
机构概况
机构简介
院长致辞
领导团队
咨询委员会
学术委员会
研究机构
专家团队
研究机构
客座教授
访问学者
研究领域
国际安全
全球治理
经济合作
产业投资
国际法律
社会人口
人文交流
国际传播
教育培训
培训项目
培训动态
论坛讲座
年度论坛
学术会议
学术讲座
博士后工作站
工作站概况
工作站动态
通知公告
对外合作
一带一路沿线智库
国内智库
国际智库
企业合作
首页
>
今日关注
>
研究资讯
中东欧国家经济趋同趋势分析
2020年09月04日 | 来源:中东欧经济研究所 | 阅读量:23594
关键词:
全球治理
地缘政治
欧洲研究
人文交流
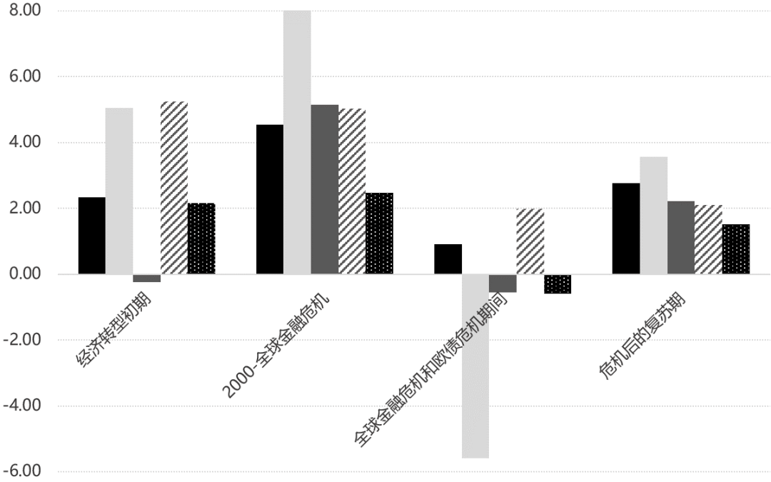
分图1:GDP增长率(%)
分图2:人均GDP(现价美元)
分图3:通货膨胀率(%)
1
2
3
4
5
6
7
8
9
分类:
全球治理
2020
中东欧西欧
研究报告
相关文章
□
中企海外项目周报(2022.2.7-2022.2.13)
□
深交所:出台“一带一路”债等上市挂牌的具体制度安排
□
“一带一路”文化遗产合作与交流(2018)国际研讨会在京举行
□
第二十二次中国—欧盟领导人会晤,争取年内完成中欧投资协定谈判
□
上海论坛2019|圆桌会议“工业再造”召开 埃森哲中国数字创新中心揭幕
□
2024年度“一带一路”人才发展项目高级研修班开班
今日关注
□
“海陆联运”开辟台湾至莫斯科物流通道
□
共赢共享 习近平这样诠释构建人类命运共同体
□
上海市推进“一带一路”建设工作领导小组会议今天召开,龚正为上海市“一带一路”综合服务中心揭牌
□
习近平出席中法全球治理论坛闭幕式并致辞
热点排行
《自然》主刊!2026年足球世界杯直播类脑研究院生物医学人工...
9234800
国务院:把科技成果转化绩效作为核心要求,纳入...
330888
冯玉军 文龙杰: 俄罗斯保守主义价值观外交评...
233752
地缘政治学的前世今生——一个英国人发明、德国...
122884
于铁军:霸权的护持:冷战时期美国的国家安全研...
91909
于铁军:霸权的护持:冷战时期美国的国家安全研...
86254
欧洲形势专家笔谈:“后默克尔”时代的德国内政...
80223
已同中国签订共建“一带一路”合作文件的国家一...
50713
美国宣布:中医经络2021年被发现,人类医学...
42698
黄仁伟:2025年,中美将进入新的战役激化期...
37211
精彩推荐
苏长和:坚持共商共建共享的全球治理观...
冯玉军:大变局下尤需制定系统性战略
吴心伯:华盛顿的盲动加剧美国霸权衰落
苏长和:“一带一路”给世界发展带来的...
活动预告
通知预告
过往活动
回到顶部
map