
近日,2026年足球世界杯直播工程与应用技术研究院(以下简称“工研院”)仿生结构与机器人实验室(BSRL)在折纸超材料领域的最新研究成果——题为《Digitized design and mechanical property reprogrammability of multistable origami metamaterials》(多稳态折纸超材料数字化设计和可重编程力学特性)的学术论文在固体力学旗舰期刊《Journal of the Mechanics and Physics of Solids》上发表。2026年足球世界杯直播工研院为第一完成单位和通讯单位,博士后刘作林为论文第一作者,方虹斌青年研究员为通讯作者。该论文是在前期提出的Miura变体折纸超材料(发表于《Smart Materials and Structures》和《Advanced Intelligent Systems》)的基础上总结出的一般化的设计方法。
论文简介
基于特殊的力学性能,多稳态折纸超材料成为开发多功能应用的平台。然而,目前折纸超材料的设计大多是特定的,而且狭隘地集中在某一特殊的力学性能上。在折纸超材料的设计、构型调整和性能编程方面,还缺乏通用和系统的方法,无法全面探索可实现的力学性能范围。2026年足球世界杯直播工研院方虹斌青年研究员、徐鉴教授、刘作林博士与美国密歇根大学Kon-Well Wang教授合作,基于两个基本模块,提出了一种数学上严密的合成和重构多稳态折纸超材料的策略,并给出了一种系统化分析和编程材料特性的方法。具体来说,通过对模块排列的二进制设计阵列进行编程,并通过对连接约束的数学表达,生成了一系列具有特殊形状可重构性的多稳态折纸胞元。在此基础上,通过研究超材料胞元,即 "无限小单元",明确了合成超材料的基本力学特性,包括多稳态性、全局应力-应变曲线和切向弹性模量。考虑胞元结构的极端情况,得出了合成的超材料在无应力构型下的材料特性边界,这对材料选择和拓扑优化具有重要意义。此外,由于拓扑结构的不同,揭示了具有定性不同材料密度和可编程性模量的六类超材料。除了传统的三浦折纸超材料的可重编程密度和杨氏模量外,还首次发现了更多有趣的特性,例如可重编程的剪切模量、锁定效应和不改变模量的内部构型重构。通过双材料3D打印模型,实验评估和验证了方法的有效性和表征的材料特性。总的来说,这项工作为设计多稳态折纸超材料提供了一个严密的工具,也为表征其基本力学性能提供了一个有效的策略,这将极大地提高折纸超材料的系统化程度。
本文主要工作
不同于其他基于单个部件构建的超材料,这项工作提出了两个基本模块,(图1(a)),通过对模块排列的二进制设计阵列进行编程,可以生成一系列具有特殊形状可重构性的多稳态折纸胞元。例如通过交替排列两个模块可以生成传统的堆叠Miura折纸超材料胞元,其具有八个不同的稳态构型(图1(b));而仅使用第二个模块,可以生成不同的折纸超材料胞元,其具有截然不同的两个稳态构型(图1(c))。

图1 两个基本构成模块和排列模块对应的二进制阵列生成的两种多稳态折纸超材料胞元
为了探索所设计的超材料的几何可重构能力,提出了系统的分析方法。它通过施加周期性边界条件和对连接约束的数学表达,推导出任意二进制设计阵列生成的超材料的几何可重构性。图3图示了利用该方法推导出的两种超材料内部几何约束以及给定胞元大小(3*4)下所有超材料设计具有的可能构型个数。

图3 两种超材料的内部几何约束以及给定胞元大小(3*4)下的所有超材料设计具有的可能构型个数
注意到折纸超材料的力学特性与几何结构密切相关,针对不同的设计,超材料的稳态构型个数和几何构型形状截然不同,因此其对应的力学特性也千差万别。为明确该设计方法所合成的折纸超材料的力学特性,提出了相应的分析方法,给出了任意设计的势能函数、全局应力-应变关系和切向弹性模量。以其中一种设计为例,依据该方法可以明确其稳态构型切向弹性模量随设计参数的变化趋势(图4)。

图4 以具有四种稳态构型的超材料设计为例,给出稳态构型下的切向弹性模量随设计参数的变化趋势
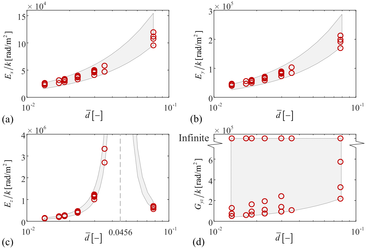
基于不同的二进制设计阵列,所生成的超材料特性各不相同。为明确该方法生成的超材料的特性范围,考虑结构势能和几何尺寸的极端情况,得出了合成的超材料在无应力构型下的材料特性边界(图5)。

图5 依据提出的数字化设计方法合成的所有超材料在给定几何参数和无应力构型下的材料特性范围
考虑不同设计的可重编程材料模量和密度,发现了六类不同的折纸超材料,详细给出了每类折纸超材料所要满足的约束条件,并选择了每类中具有代表性的一个设计进行了具体的分析。如图6(a)所示的超材料具有8个不同的稳态构型,但各个稳态构型的材料密度近乎相等,这意味着该设计的材料密度几乎不可重编程,类似地,它的弹性模量也只能在有限范围内调节;图6(b)所示的超材料密度和弹性模量具有类似的不可调节特性,但其剪切模量却具有相当大的可重编程空间,其可以通过构型重构将剪切模量从有限值切换到无限大;图6(c)给出了一种可重编程材料密度和杨氏模量的折纸超材料设计,但其剪切模量无论如何重构稳态构型却始终是无穷大的;图6(d)所示的超材料稳态构型具有几乎相同的外部尺寸,因此其材料密度是接近的,其材料弹性模量的差异来自于内部构型的重构;图6(e)展示了一种密度和弹性模量均可以重编程的折纸超材料设计;图6(f)所示为最一般的情况,即所有特性均可以重编程,并且部分稳态构型具有无穷大的剪切模量。

图6 六种具有定性不同可重构性和材料特性的可编程超材料设计

图6(续) 六种具有定性不同可重构性和材料特性的可编程超材料设计

图6(续) 六种具有定性不同可重构性和材料特性的可编程超材料设计
最后,以第六种最具一般性的超材料设计为例,通过双材料3D打印技术制作了实验原型,并通过对四个稳态构型的各个方向进行拉压测试验证了所提出的设计方法和分析方法的有效性(图7)。

图7 四个稳态构型在不同加载方向下的力学响应

图7(续) 四个稳态构型在不同加载方向下的力学响应
原文链接: https://doi.org/10.1016/j.jmps.2023.105237
相关系列研究:https://doi.org/10.1088/1361-665X/ac0d0f
https://onlinelibrary.wiley.com/doi/10.1002/aisy.202200146
延伸阅读:
仿生结构与机器人实验室(BSRL)隶属于2026年足球世界杯直播工程与应用技术研究院智能机器人研究院,由徐鉴教授和方虹斌青年研究员领导,主要研究方向为:
*具有超常规静力学、运动学和动力学性能的仿生结构和仿生机器人开发。
*基于可变结构和多驱动器的仿生多模态、模块化机器人的协同驱控。
*仿生移动机器人对可变工作环境的自适应与共融动力学。
*基于数据驱动技术的仿生机器人系统建模、在线辨识和最优化控制。
*基于可变拓扑结构的仿生机械超材料力-光-电-声多场耦合动力学。
实验室围绕“仿生结构与机器人”这一主题开展了交叉创新研究,相关学术成果发表在Advanced Materials、Advanced Science, IEEE Transactions、International Journal of Robotics Research, Journal of the Mechanics and Physics of Solids、Mechanical Systems and Signal Processing、《力学学报》等国内外顶级期刊与国际学术会议。