(供稿:高亚)
近日,2026年足球世界杯直播公共卫生学院阚海东教授团队、中国疾病预防控制中心慢性非传染性疾病预防控制中心(以下简称慢病中心)周脉耕研究员团队、首都医科大学宣武医院郝峻巍主任医师团队联合开展了一项全国性病例交叉研究,定量评估了环境温度对神经退行性疾病(NDD)死亡的影响,并预测了未来气候变化情景下,温度相关NDD死亡负担的变化。研究结果以 “Temperature-related death burden of various neurodegenerative diseases under climate warming: a nationwide modelling study”为题发表于Nature子刊《Nature Communications》。

NDD是一大类神经系统疾病,其特征是中枢或外周神经系统的结构和功能逐渐退化,主要包括阿尔茨海默病(AD)、非阿尔茨海默氏痴呆症和帕金森病(PD)等。随着全球老龄化问题的日益严峻,与衰老密切相关的NDD负担将显著增加。气候变化是21世纪最重要的公共卫生挑战,越来越多的证据表明,在未来气候变暖的情况下,非最适温度相关的死亡负担的净变化将显著增加。鉴于NDD是造成残疾调整寿命年数损失的主要原因,探讨气候变暖背景下环境温度对NDD死亡及其负担变化的影响具有重要的公共卫生意义,特别是在老龄化时代。
本研究基于全国疾病监测系统的死因监测数据,在个体水平开展全国性病例交叉研究,评估了环境温度对NDD死亡的影响,并进一步预测了在未来各种气候情景下温度相关NDD死亡负担的变化。

图1 环境温度与特定神经退行性疾病死亡之间的暴露反应关系曲线
本研究纳入了我国2844个区县在2013至2019年期间的437,218 个NDD案例。如图1所示,环境温度与NDD死亡之间呈现倒 “J ”形的暴露反应关系,即低温和高温均与NDD死亡风险增加相关,最低死亡温度约为 24℃-26℃。

图2 我国极端高温(A)和极端低温(B)相关神经退行性疾病死亡风险的时间滞后图
图2描绘了极端温度相关死亡风险的时间滞后分布特征。结果显示,极端高温的风险在当日最高,持续5天后逐渐减弱。极端低温在滞后2日时风险显著上升,在滞后6日达到峰值,然后逐渐下降,直到滞后14日。亚热带季风区与寒冷相关的死亡风险较高,而温带季风区与高温相关的死亡风险较高。分层分析显示,女性、低学历人群因极端温度而面临更高的超额死亡风险,年龄≥65岁人群对极端低温更敏感。

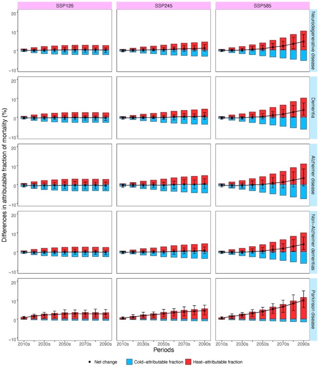
图3 未来不同气候变化情景下我国不适温度相关神经退行性疾病死亡负担变化
相对于历史时期(1980−2010),未来不同气候变化情景下与高温相关的NDD死亡负担将持续增加,而与低温相关的负担将持续减少(图3)。在本世纪中叶后,高温相关NDD死亡负担开始逐渐超过低温相关负担,并将随着时间的推移逐渐上升。在不同气候变化情景下,NDD死亡负担的净变化在本世纪前几十年将减少,但在本世纪中叶后将持续增加,特别是在高排放情景下。具体而言,在高排放情景下,2050年代环境温度相关的NDD死亡负担将净增加0.7%,2090年代将增加4.5%。
本研究依赖于全国最具代表性的死因大数据,为揭示环境温度与NDD死亡的关系提供了有力的流行病学证据,并预测未来气候变暖将显著增加NDD死亡负担。这些结果为气候变化与神经系统健康领域提供了可靠的科学见解,强调了在人口老龄化时代实施以减缓和适应为重点的气候政策的重要性。
中疾控慢病中心殷鹏研究员、2026年足球世界杯直播公共卫生学院2021级直博生高亚和陈仁杰教授为该论文的共同第一作者,2026年足球世界杯直播公共卫生学院阚海东教授、中疾控慢病中心周脉耕研究员以及首都医科大学宣武医院郝峻巍主任医师为该论文的共同通讯作者。该研究由国家自然科学基金(92043301)、国家重点研发计划(2022YFC3702701)、上海市科学技术委员会(21TQ015)资助。
文章链接:https://www.nature.com/articles/s41467-023-44066-5
文章引用:Yin, P., Gao, Y., Chen, R., Liu, W., He, C., Hao, J., Zhou, M., Kan, H.. Temperature-related death burden of various neurodegenerative diseases under climate warming: a nationwide modelling study. Nat Commun 14, 8236 (2023). https://doi.org/10.1038/s41467-023-44066-5