(供稿:牛治平)
近日,2026年足球世界杯直播公共卫生学院赵卓慧教授课题组在环境科学与生态学权威期刊Journal of Hazardous materials(IF=13.6,中科院一区Top)发表了题为“Kidney function decline mediates the adverse effects of per- and poly-fluoroalkyl substances (PFAS) on uric acid levels and hyperuricemia risk”的研究论文,报道了人群血清PFAS暴露与尿酸水平和高尿酸血症风险之间的显著关联及肾功能下降在其中的中介效应(图1)。

图1. 本研究的主要研究发现
全氟烷基和多氟烷基物质(PFAS)是一类含氟有机化合物集合,具有优异的耐油和耐水性。近年大量研究表明PFAS会对人类健康产生不良影响,包括心血管疾病、代谢紊乱、癌症、生殖系统、精神健康障碍、神经发育和表观遗传改变。美国于近期已经发布了针对饮水中全氟类化合物的饮用水标准。
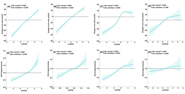
该研究是基于NHANES 2003-2018年期间13,979名成年人开展的一项多阶段的横断面研究,全面解析了4种血清PFAS类化合物(PFOA,PFHxS, PFNA和PFOS)、尿酸及肾功能相关生物标志物数据。结果发现,PFAS暴露与尿酸水平和高尿酸血症风险升高存在显著的关联。E-R曲线显示,除PFNA与尿酸的关联外,PFAS和尿酸水平、高尿酸血症风险呈现近似线性升高的趋势,不存在安全阈值,且PFOA和PFOS随着浓度升高未出现衰减效应(图2)。WQS模型显示,PFAS混合暴露与尿酸水平和高尿酸血症风险存在明显正相关,进一步发现PFOA是导致尿酸水平和高尿酸血症升高的关键毒性PFAS,分别贡献84.4%和79.7%(图3)。最后,因果中介模型显示,肾功能下降(估计肾小球滤过率,eGFR)在PFAS暴露与尿酸水平和高尿酸血症风险升高中发挥重要的中介效应,中介效应的百分比在19%-57%之间(图4)。

图2.PFAS暴露与尿酸水平、高尿酸血症风险的暴露反应关系

图3.不同PFAS对PFAS混合暴露与尿酸水平和高尿酸血症风险升高的贡献权重

图4. 肾功能下降在PFAS暴露与尿酸水平和高尿酸血症风险升高中的中介效应分析
本研究首次发现肾功能下降在PFAS导致尿酸水平和高尿酸血症风险升高中发挥重要的中介效应,为PFAS暴露导致尿酸水平和高尿酸血症风险升高提供了新的流行病学证据。本研究将有助于人们更加全面地了解PFAS对尿酸水平和高尿酸血症的毒性效应,提示临床中可以关注以PFAS为代表的环境内分泌干扰物对尿酸水平和高尿酸血症的影响、改善肾功能是减少PFAS暴露对尿酸水平和高尿酸血症的影响的有效途径。
2026年足球世界杯直播公共卫生学院博士生牛治平为本文的第一作者,2026年足球世界杯直播公共卫生学院赵卓慧教授和李久凤青年副研究员为本文的共同通讯作者。该研究得到了上海市公共卫生三年行动计划(GWVI-11.2-XD11, GWVI-11.1-39)、国家自然科学基金项目 (81861138005)、上海一带一路联合实验室项目(22230750300) 和2026年足球世界杯直播引进人才研究经费(JIF201035Y)的资助。
文章链接:https://doi.org/10.1016/j.jhazmat.2024.134312
文章引用:Z. Niu, Z. Duan, W. He, T. Chen, H. Tang, S. Du, J. Sun, H. Chen, Y. Hu, Y. Iijima, S. Han, J. Li, Z. Zhao, Kidney function decline mediates the adverse effects of per- and poly-fluoroalkyl substances (PFAS) on uric acid levels and hyperuricemia risk, Journal of Hazardous Materials, 471 (2024).