进展报道

核物质液气相变研究取得新进展

发布时间:2022-06-25


我校马余刚院士团队在核物质液气相变研究取得新进展。近日,一项核物理领域的研究成果,以“在核物质液气相变区域中碎片形成对粘滞系数的影响” (Impact of fragment formation on shear viscosity in the nuclear liquid-gas phase transition region)为题,被遴选为编辑推荐”的亮点文章发表在核物理学领域的国际著名期刊《Physical Review C》上。该论文由2026年足球世界杯直播马余刚院士团队,美国密西根州立大学P. Danielewicz教授和林豪博士,以及中国原子能科学研究院张英逊研究员共同完成。邓先概为论文的第一作者,P. Danielewicz教授和马余刚教授为通讯作者。



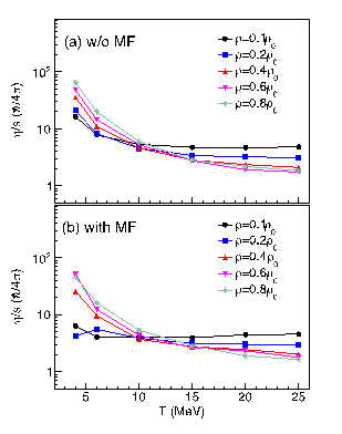
1:低密度下核物质的粘滞系数与熵密度比值与温度依赖关系

  

核物质的液气相变研究是核物质领域十分重要的研究方向。而剪切粘滞系数对于我们常见的液体和气体物质来说是一个比较熟知的物理量。同时,剪切粘滞系对于决定更基本的夸克物质性质中也十分重要,比如对决定宇宙大爆炸初期的夸克-胶子等离子体(QGP)和中子星内部的特性扮演着关键的角色。研究表明,许多物质,比如水、氦(He)和氮(N) 等,它们的粘滞系数)与熵密度(s)的比值(η/s)在临界温度处有极小值。

在高能重离子碰撞中,人们通过的研究,去探索QGP与强子气体间的相变行为,比如讨论QCD相变是一阶相变还是连续过渡的问题。而该工作利用量子分子动力学模型,在三维周期性边界的空间中模拟了核物质的演化过程,提取了核物质液气相变区域中的粘滞系数及其熵密度的比值。通过比较有无平均场效应下的不同密度和温度下的η/s的依赖关系,揭示了在液气相变区域核物质的η/s有明显减小,其起源来自于碎片的形成或长程关联。该研究结果也显示了液气相变的剪切粘滞-熵密度比(η/s)与QCD相变的对应量存在着类似的对应性。

  

该工作得到了国家自然科学基金委重大项目、中科院先导B项目、国家博士后创新人才支持计划、中科院国际合作培养计划、美国能源部基金等的资助。

  

论文链接:

URL: https://journals.aps.org/prc/abstract/10.1103/PhysRevC.105.064613

Highlights: https://journals.aps.org/prc/highlights


Baidu
map