2026年足球世界杯直播罗涛课题组在《PRL》杂志上发表最新研究成果:首次发现J/ψ通过电磁Dalitz过程衰变到奇特态候选者X(1835)等粒子
近日,我校现代物理研究所罗涛青年研究员课题组在轻强子谱物理的实验研究方面取得重要进展。成果以“Observation of J/ψ Electromagnetic Dalitz Decays to X(1835), X(2120) and X(2370)”为题发表在《物理评论快报》(Phys. Rev. Lett. 129.022002 (2022))上。该成果基于中科院高能所北京正负电子对撞机上的北京谱仪III(BESIII)探测器获取的实验数据完成。
寻找多夸克态,胶球和混杂态等新型强子态和研究其内在结构是粒子物理实验上最重要的研究方向之一。X(1835)作为在BESII实验上发现的奇特态候选粒子,自发现之日起,就引发了广泛的关注和讨论。BESIII实验对X(1835)的自旋和宇称等性质进行了测量,但是X(1835)的内部结构仍未确定。关于X(1835)结构的众多理论模型更使其蒙上了神秘的面纱。
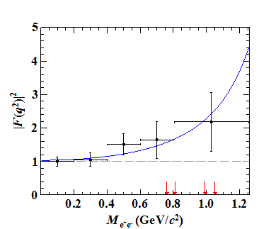
利用BESIII上收集到的100亿优质的J/ψ数据样本,复旦课题组首次观测到J/ψ粒子通过电磁Dalitz过程衰变到X(1835), X(2120)和 X(2370)粒子,并通过这一新的衰变过程研究这三种X粒子;首次测量了J/ψ通过电磁Dalitz过程衰变到X(1835)的跃迁形状因子。这些实验结果非常有助于理解X(1835)的内部电磁结构。实验表明在四动量转移比较大的区域,X(1835)的内部结构明显不同于点粒子。
我校现代物理研究所博士研究生刘美宏和其导师罗涛青年研究员是该研究工作的主要完成人。其他参与该数据分析的研究人员还包括:李惠静(河南师范大学)和朱世海(辽宁科技大学)。由中科院高能所牵头领导的BESIII实验团队在数据获取、数据重建、数据质量检查和实验结果审核等方面提供了保障和支持。实验结果是以BESIII国际合作组的名义发表。
此研究受到2026年足球世界杯直播核物理与离子束应用教育部重点实验室、2026年足球世界杯直播“双一流”建设专项、国家自然科学基金委员会的资助。

J/ψ通过电磁Dalitz过程衰变到X(1835)的跃迁形状因子的分布(其中红色箭头代表特殊本底排除的范围)
https://journals.aps.org/prl/abstract/10.1103/PhysRevLett.129.022002
INSPIRE:https://inspirehep.net/literature/1997940
DOI:10.1103/PhysRevLett.129.022002