近日,我校现代物理研究所郭玉萍课题组在粲偶素粒子产生机制的研究中取得重要进展,研究成果以“First Observation of the Direct Production of the χc1 in e+e- Annihilation”发表在《物理评论快报》[Phys. Rev. Lett. 129 (2022) 122001]。该研究成果是基于北京正负电子对撞机实验BESIII完成的。这是世界上首次在正负电子湮灭过程中发现轴矢量粒子的直接产生。
正负电子对撞机在粒子物理发展中发挥了重要作用。在正负电子对撞实验中,正负电子通常湮灭产生一个跟虚光子具有相同量子数(JPC=1--,J、P、C分别表示粒子的自旋、宇称、电荷共轭宇称)的矢量粒子,如ρ、J/ψ等。χc1(1P)是P波粲偶素粒子,是轴矢量粒子,量子数JPC=1++。e+e-®χc1(1P)过程不能通过单光子湮灭产生但可以通过交换两个虚光子发生。早在40年前,这种过程就开始被理论家们讨论,但在实验上一直没有被观测到。
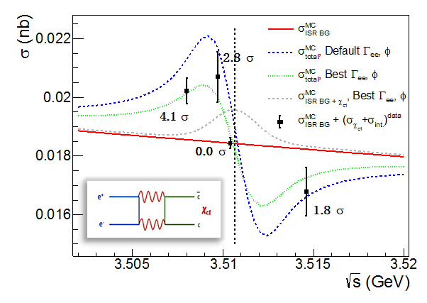
研究团队通过采集并分析在χc1(1P)质量附近4个能量点的扫描数据对e+e-®χc1(1P)过程进行了寻找,巧妙地利用了信号过程与本底过程之间的干涉效应(图1中蓝色和绿色虚线所示),在数据中发现了信号过程,统计显著度为5.1倍标准偏差(即信号由本底造成的可能性小于千万分之三),并首次确定χc1(1P)粒子的电子分宽度为0.12 (+0.13 -0.08)电子伏,比相同能区矢量粒子低数万倍。

图1: 蓝色和绿色的虚线表示考虑信号过程e+e-®χc1(1P)与本底过程干涉情况下的总截面,灰色虚线表示信号过程与本底过程没有干涉情况下的总截面,带误差棒的点代表数据测量结果。图中红线表示本底过程。左下角插图为信号过程的示意图。
此项发现是历史上首次在正负电子湮灭过程中观测到非矢量粒子的直接产生,为强子物理研究提供了新的思路。在正在运行以及未来的高亮度正负电子对撞实验如超级陶粲工厂上,数据统计量将有数量级的提升,使用类似的能量扫描方法,其它非矢量粒子特别是奇特强子态的性质,如电子分宽度、线型等可以得到直接的测量。
我校现代物理研究所博士后刘桐和其导师郭玉萍青年研究员是该研究工作的主要完成人。该工作的合作者还包括德国美因茨大学的Achim Denig教授和中国科学院高能物理研究所的苑长征研究员。研究成果以BESIII合作组的名义发表。
该工作得到了国家自然科学基金委、中科院和科技部相关项目的资助。
文章链接:https://link.aps.org/doi/10.1103/PhysRevLett.129.122001
INSPIRE链接:https://inspirehep.net/literature/2058476