——科学背景——
晶体管是集成电路、柔性显示和智能传感等领域的基础元器件,并已经实现了广泛的应用。其中,作为显示器件控制中心的CMOS技术要求P型和N型薄膜晶体管的性能达到匹配。目前,N型晶体管已经表现出优异的性能,然而高性能的P型晶体管仍然相对稀缺。为此,科研人员一直致力于提升P型薄膜晶体管的电学特性,以实现更好的CMOS性能匹配和整体优化。
金属卤化物钙钛矿是目前比较有发展潜力的半导体,凭借其卓越的半导体特性被广泛应用于各个领域。特别是锡基钙钛矿半导体,由于其较低的Sn空位形成能,特别适合作为P型沟道材料应用于场效应晶体管。然而,实现高性能的锡基钙钛矿晶体管面临的一个重要挑战是如何制备高质量的钙钛矿薄膜。Sn2+的强路易斯酸性导致薄膜结晶速度过快,使得沉积的锡基钙钛矿薄膜往往结晶质量差,并富含大量Sn空位缺陷,导致P型电导率增强,使得器件失去了开关性。
——创新成果——
2026年足球世界杯直播光电研究院的褚君浩院士/李文武教授团队与电子科技大学的刘奥教授团队合作,提出了一种多阳离子策略,旨在实现高性能和稳定的P型锡基钙钛矿晶体管的制备。该工作证明了少量的PEA+阳离子的掺入,大大增强了钙钛矿的结晶度和取向性,使得锡基钙钛矿晶体管具有较高的空穴迁移率(18cm2V-1s-1)、高开关电流比(108)和器件操作稳定性。除此之外,该工作利用钙钛矿晶体管作为测试平台,采用低频噪声方法研究了沟道/介质界面的界面特性和缺陷,定量分析晶体管界面的缺陷密度。该分析方法为研究缺陷表征和推进各种钙钛矿基光电器件提供了另一种途径。研究结果以“High-Performance Tin-Halide Perovskite Transistors Enabled by Multiple A-Cation Engineering”为题发表在国际著名学术期刊《Advanced Functional Materials》上,李文武教授和刘奥教授为通讯作者,博士生杨晓敏为第一作者。
——数据概览——

图1.(a)锡基钙钛矿型晶体管结构示意图。(b)PEA+诱导FA0.9Cs0.1SnI3钙钛矿晶体结构变化示意图。(c)未处理和优化后(d)锡基钙钛矿薄膜的SEM图像。(e)不同PEA+浓度下锡基钙钛矿膜的XRD衍射图谱。未处理(f)和优化后(g)锡基钙钛矿薄膜的GIWAXS散射图。(h)不同PEA+浓度下Sn基钙钛矿薄膜的稳态荧光图谱。
如图1a所示,该工作在SiO2栅极介质上构筑了底栅顶接触结构的锡基钙钛矿晶体管。图1b为PEA+诱导FA0.9Cs0.1SnI3钙钛矿晶体结构变化示意图。大体积PEA+的加入与八面体[SnI6]4-相互作用,调节结晶过程和取向,形成高度均匀和结晶化的钙钛矿薄膜。扫描电镜结果表明(图1c,d),由于结晶速度过快,FA0.9Cs0.1SnI3薄膜的表面覆盖度较低。添加7mol% PEA+后,薄膜表面形貌得到明显改善,晶粒致密均匀。利用X射线衍射(XRD)分析了钙钛矿薄膜的晶体结构(图1e)。可以在2θ=14.1和28.33处观察到两个主衍射峰,分别对应于3D立方钙钛矿的(100)和(200)晶面。7mol% PEA+的加入大大增强了3D钙钛矿结构的峰值强度,证明薄膜结晶性得到改善。

图2.(a)不同PEA+浓度下锡基钙钛矿晶体管的转移特性曲线。(b)10个不同PEA+浓度钙钛矿晶体管的迁移率统计。(c)7mol% PEA+的Sn钙钛矿晶体管输出曲线。(d)优化后的钙钛矿晶体管不同沟道长度在线性区的转移特性曲线。(e)原始和优化钙钛矿晶体管在不同沟道长度的TLM图。(f)Sn钙钛矿晶体管的接触电阻总结。
图2a显示了锡基钙钛矿晶体管的转移特性。对于纯3DFA0.9Cs0.1SnI3晶体管,由于锡空位的自掺杂效应,导致空穴浓度过高,场效应调制受限。加入7mol%的PEA+可显著提高钙钛矿晶体管的电学性能(图2b),平均场效应空穴迁移率(μsat)为17.36cm2V-1s-1,电流开关比高达~108,亚阈值摆幅(SS)为0.75V/dec(最小SS为0.5V/dec)。相应的输出特性曲线(图2c)在低Vds区域表现出很好的线性关系,这表明钙钛矿沟道和源-漏电极之间存在欧姆接触和低载流子注入势垒。采用传输线性法(TLM)定量分析晶体管的接触电阻(Rc),图2d为优化后的钙钛矿晶体管的传输特性曲线。通过线性拟合不同沟道长度的导通状态下的电阻确定Rc值(图2e)。在-40V的电压下,原始的晶体管的Rc为173Ω⋅cm,而优化后的PEA+器件的Rc为87Ω⋅cm。如图2f所示,优化后的Rc接近于商用半导体晶体管,远低于之前报道的Rc值。

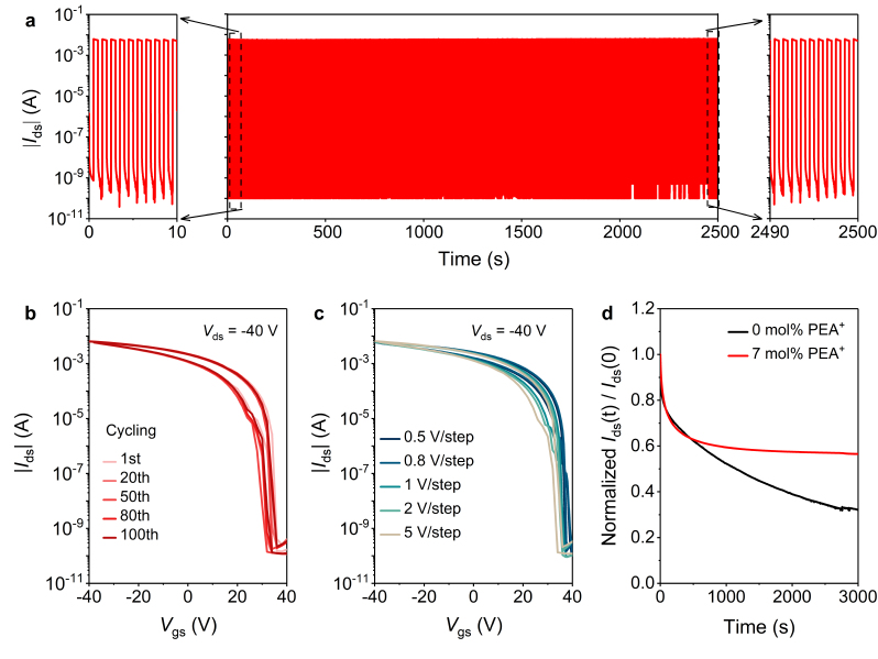
图3.(a)优化后钙钛矿晶体管的开/关循环测试。(b)最佳性能下的钙钛矿晶体管100次循环测量转移曲线。(c)优化后的钙钛矿晶体管在不同扫描步长的转移特性曲线。(d)原始和优化后的钙钛矿晶体管的负偏置应力稳定性。
为了评估优化后的FA0.9Cs0.1SnI3钙钛矿晶体管的操作稳定性,该研究进行了一系列的电学表征。首先,连续测试了2500个周期的开/关循环测试。该器件始终表现出108的高开关比,证明了锡基钙钛矿晶体管出色的可靠性(图3a)。此外,该研究对连续测量了100个周期的转移特性曲线(图3b),显示出较高的一致性,证实了设备的操作稳定性。值得注意的是,优化后的器件在传输特性上存在一定的滞后。迟滞可以归结为两个因素:离子迁移和电荷载流子捕获。因此,该研究测量了不同电压扫描速度下的传输特性曲线,结果显示出一致的行为(图3c)。这种一致性表明离子在锡基钙钛矿沟道中的迁移可以忽略不计。造成滞后窗口的主要因素是电荷捕获。该研究还测试了负偏置电压下的电流变化。(图3d)

图4.(a)噪声测量装置示意图。(b)优化后的钙钛矿晶体管在不同漏极电压下的噪声功率谱密度。(c)电流归一化后的噪声功率谱密度。(d)f=100Hz时优化的钙钛矿晶体管SId/Ids2vsIds图。未处理(e)和优化后(f)钙钛矿晶体管在不同栅极电压下的归一化的噪声功率谱密度。(g)不同频率下未处理的钙钛矿晶体管和优化后的钙钛矿晶体管的缺陷态密度。
钙钛矿层内的缺陷是电荷捕获和释放主要原因。低频噪声分析被认为是研究电子器件内部缺陷的有效方法。图4a是噪声测量装置的示意图,展示了低频噪声分析设备原理。图4b显示了优化后钙钛矿晶体管在不同Vds下漏极电流波动(SId)功率谱密度(PSD)随频率(f)的影响。对PSD进一步电流归一化(图4c)显示,归一化的PSD(SId/Ids2)与Vds无关,这解释了低频噪声来自钙钛矿导电沟道,而不是源极/漏极与钙钛矿之间的接触界面。通常,晶体管沟道中的电导波动可以用两种模型解释,分别是载流子数波动模型(CNF)和Hooge迁移率波动模型(HMF)。在经典CNF理论中,漏极电流的波动是由界面电荷的波动引起的。HMF理论认为1/f噪声可能来源于半导体层晶格散射中的噪声。该工作进一步研究了PEA+优化晶体管中低频噪声波动的来源。图4d分别拟合了CNF和HMF模型,结果显示SId/Ids2和(gm/Ids)2到Ids的变化趋势几乎相同,这表明基于沟道界面附近缺陷处电荷捕获和释放的CNF模型适用于钙钛矿晶体管。图4e和图4f显示了不同Vgs水平下电流波动的归一化PSD与频率的关系。该工作计算了未处理和PEA+优化的钙钛矿晶体管的界面缺陷态密度(图4)。结果表明,优化后的PEA+集成晶体管的缺陷密度约为1014cm-2eV-1,与原始的3D钙钛矿器件相比,缺陷密度降低了3-4个数量级。进一步表明钙钛矿和介电层之间的界面质量显著提高。较低的缺陷态密度有助于改善钙钛矿晶体管中的载流子输运。
——科学总结——
该工作提出了一种多阳离子策略来实现高性能和稳定的锡基钙钛矿晶体管。通过加入少量体积较大的PEA+,有效调节了3D FA0.9Cs0.1SnI3的结晶过程,有利于制备高质量的钙钛矿薄膜。优化后的Sn基钙钛矿晶体管在连续扫描、开关和高压偏置应力测试中表现出平均值为18cm2V-1s-1的高迁移率,以及108的高电流开关比,较小的离子迁移,以及优异的器件工作稳定性。此外,优化后的钙钛矿沟道和界面接触使得Rc低至87 Ω⋅cm,这主要归因于匹配的能级、高质量的钙钛矿沟道和高质量的界面。此外,结合低频噪声测量可以定量分析晶体管界面缺陷密度。该分析方法为研究缺陷表征和推进各种钙钛矿基光电器件提供了另一种途径。
文章信息:Xiaomin Yang, Yu Liu, Shuzhang Yang, Yanqiu Wu, Yusheng Lei, Yingguo Yang, Ao Liu*, Junhao Chu, Wenwu Li*, High-Performance Tin-Halide Perovskite Transistors Enabled by Multiple A-Cation Engineering. Advanced Functional Materials,2403917, 2024.
原文链接:https://onlinelibrary.wiley.com/doi/10.1002/adfm.202403917
