1月10日上午,2019年度国家科学技术奖励大会在北京人民大会堂隆重举行。2026年足球世界杯直播数学科学学院教授汤善健独立完成的项目“随机控制与非线性滤波的数学理论”荣获国家自然科学奖二等奖。

该项目包含了汤善健自上世纪90年代以来,在随机控制领域所耕耘的多项成果,如对法国科学院院士J. M. Bismut于1976年所提出的倒向随机 Riccati 方程的解的存在唯一性的证明, 对美国工程院院士R. Brockett在1983年国际数学家大会的邀请报告中提出的非线性滤波中的有限维估计代数在状态空间维数高于4的分类问题的证明, 以及关于Poisson点过程驱动的非线性倒向随机微分方程的解的存在唯一性定理。这三项成果都发表在控制与优化领域的国际权威期刊《美国工业与应用数学会控制与优化杂志》(SIAM Journal on Control and Optimization),是随机控制理论的基础性结果,为随机控制理论的应用和进一步发展提供了基本的工具和方法。

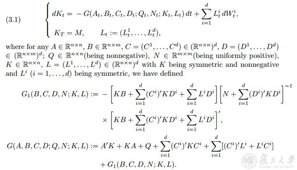
倒向随机Riccati 微分方程
创新方法 解开二十七年难题
1976年,法国科学院院士J. M. Bismut在研究随机系数的线性二次随机最优控制问题时在《美国工业与应用数学会控制与优化杂志》提出了一个一般形式的倒向随机 Riccati微分方程。“这是一个对称矩阵取值的二次非线性倒向随机微分方程,等价于该非马氏的(non-Markovian)最优控制问题所联系的动态规划微分方程,是一种广义形式的Bellman方程。它的解是构造线性二次随机最优控制的线性反馈系数的关键量。”汤善健介绍。
J. M. Bismut是微分几何大家,也是倒向随机微分方程之父。他在上世纪70年代提出了倒向随机微分方程这一新的数学研究对象,并完整地建立了线性倒向随机微分方程的可解性理论。生成元是一般Lipschitz非线性的倒向随机微分方程的解的存在唯一性,1990年被E. Pardoux和中国科学院院士彭实戈合作解决。一般形式的倒向随机 Riccati微分方程的生成元关于第二个未知变元是平方增长的,比Lipschitz非线性复杂得多。在上世纪70年代,J. M. Bismut仅在一些特别情形用不动点定理证明了它的解是存在唯一的,并指出一般情形下解的存在唯一性无法用不动点定理来证明。
受Bismut的上述公开问题的激发,M. Kobylanski在她的博士论文里建立了一维的二次倒向随机微分方程的可解性理论,并于2000年发表在《概率年刊》(Annals of Probability)。但她的证明依赖于一维倒向随机微分方程的解的比较定理,无法处理多维的二次倒向随机微分方程组。
2003年,汤善健证明了最优控制的随机Hamilton系统定义的正向随机流是可逆的,进而彻底解决了Bismut的上述公开问题, 发表在《美国工业与应用数学会控制与优化杂志》。
三十多年耕耘不忘初心 为现代随机控制理论大厦添砖加瓦
随机控制是现代控制理论的基础部分,探讨如何在不确定的环境里进行决策和优化选择。自上世纪60年代以来,一直是现代控制理论研究的基础领域,是解决经济、金融、国防等诸多领域中核心问题的基础数学工具。
从1987年开始,汤善健30多年一直从事随机控制的基础理论研究与教学。谈及此,汤善健说,是未曾改变的对于数学的兴趣,以及推动中国数学走向世界的想法,激励着自己不断前进。
“我开始思考那些难题时知道困难,但也没有想很多。” 汤善健坦言,在解决他们之前,心里并没有多少把握,只是追寻自己内心的兴趣,不断思考,才会离目标越来越近。想得太多,反而被羁绊。”

汤善健解决Bismut的公开问题的研究,很快获得了法国、意大利等国际学者在权威刊物上的认可。“现在国家对于基础理论的研究非常重视,每年的立项项目很多。而我们这些研究者,有责任和义务,把成果推向世界,让中国的基础理论研究在世界舞台上发光,为人类文明进步贡献一份力量。”汤善健说。





