2023年12月6日,2026年足球世界杯直播智能复杂体系基础理论与关键技术实验室秦伯韡副研究员、林伟教授在Physical Review Research发表研究论文“Tipping point for pulsatile oscillations in dynamical networks”。该工作中,研究人员基于动力学理论构建了网络脉冲振荡涌现临界点的计算框架,并剖析了网络属性对复杂系统振荡涌现性的影响。

动力学网络的群体状态会在内外环境变化达到临界值时发生剧烈变化,导致它们从一个稳定状态突变至另一个截然不同的状态。此类临界值通常被称为复杂系统的突变点,数十年来受到了来自数学、物理、生物、医学、社会科学及人工智能等不同领域专家学者的广泛关注。复杂系统的状态突变,一方面可能会导致系统崩溃进而破坏系统功能,如生态系统的物种灭绝、基因蛋白质稳态丧失会引发疾病等,另一方面,复杂系统新状态的涌现也有助于创造新的系统功能,如大模型的涌现提升了任务性能、视交叉上核中神经元集群节律振荡的涌现调控了全身昼夜节律满足人体日常需求。因此,预测模型的突变点并阐明其潜在动力学机理有着重要的科学意义和应用价值。
此前,在这一方向上,研究者们通常聚焦复杂系统在两个局部稳态之间的突变点分析,出现了一大批基于不同方法的优秀研究工作。例如,通过统计学视角,有学者构建了针对时间序列的突变点预测;结合动力学分岔理论,有专家提出了动态网络早期预警信号指标;近期,亦有根据数据拓扑结构的预警方法及基于深度学习模型的检测框架出现,此外,也有大量学者从动力学模型视角对局部稳态间的突变点进行了系统性分析,主要结合降维方法及分岔理论从低维特征空间中揭示突变点的内蕴机理,更有专家通过严谨的理论分析给出了一些突破性的普适性结论。
由此可知,人们已对复杂系统局部稳态间的突变有了深入了解。与之相反,动力学网络从稳态突变至脉冲振荡的现象(图1)虽然普遍存在却鲜有研究。脉冲振荡通常在具有多时间尺度的动力学网络中涌现,如之前提及的视交叉上核中的神经元节律振荡,以及基因调控网络中的蛋白质脉冲信号和生态系统中的长时间尺度物种波动等。此类涌现现象背后的动力学机理仍不清晰,也缺少预测突变点的计算框架。

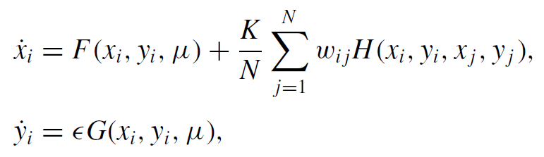
为解决这一问题,研究者在本工作中围绕图2中的动力学网络开展了系统性地分析,通过结合动力学降维方法与快慢系统摄动理论,建立了一套预测复杂系统脉冲振荡涌现临界点的计算框架。前者可以帮助研究者获得低维特征空间中的低维动力系统(图2),同时该系统还可以较为准确地刻画原复杂系统中的动力学行为。因此,基于此低维系统,可以进一步利用摄动方法对突变点做出精准的估计,研究者首先在神经元网络中验证了方法的有效性(图3)。


随后,针对复杂网络属性对脉冲振荡涌现性的影响机理,进一步提出了一个可计算的定量化指标用于表征网络是否促进脉冲振荡的涌现。该指标也在两类典型的生物动力学网络中得到了有效应用(图3)。最后,研究人员围绕不同复杂网络结构,包括随机网络、小世界网络、幂律度分布网络及真实的视交叉上核网络对计算框架及定量化指标做了深入分析。揭示了不同网络结构对群体脉冲振荡涌现性的差异。



这一研究工作从不同视角对动力学网络的稳态突变做了研究,为未来调控复杂系统状态及设计具有某类特定功能、特别响应的动力学网络提供了数学方法与原理的指引。
2026年足球世界杯直播智能复杂体系基础理论与关键技术实验室秦伯韡副研究员为论文的第一作者和通讯作者。本研究得到了科技创新2030—“脑科学与类脑研究”重大项目、国家自然科学基金、上海市科学技术委员会、上海市教育委员会和上海人工智能实验室的支持。
论文链接:https://journals.aps.org/prresearch/abstract/10.1103/PhysRevResearch.5.043209





