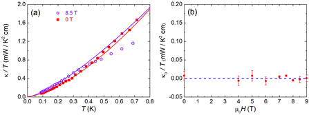
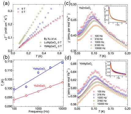
近日,我系/应用表面物理国家重点实验室李世燕教授课题组与南京大学物理学院温锦生教授、李建新教授、于顺利副教授等合作,在量子自旋液体研究领域取得了一系列重要进展,其中两项研究成果分别以《Kitaev蜂窝晶格磁体α-RuCl3在磁场致相变前后的极低温热导率》(Ultralow-temperature thermal conductivity of the Kitaev honeycomb magnet α-RuCl3 across the field-induced phase transition)和《三角晶格材料YbZnGaO4中的自旋玻璃基态》(Spin-glass ground state in a triangular-lattice compound YbZnGaO4)为题,于2018年2月8号和2月22号发表在物理学权威学术期刊《物理评论快报》(Physical Review Letters)上。 通常磁性材料在低温下都会进入磁有序态,如铁磁态或反铁磁态。然而在某些材料中由于存在较强的几何阻挫或量子阻挫,自旋一直到绝对零度都不能形成长程磁有序,这种奇异的自旋类液体般的状态被称为量子自旋液体。这一概念最早是由诺贝尔物理奖得主P. W. Anderson于1973年在研究三角格子上自旋1/2的海森堡反铁磁体模型时提出的,后来在1987年也被用来解释高温超导的可能形成机理—即通过对量子自旋液体掺杂来实现高温超导电性,从而引起物理学家的广泛关注。随后的三十年间,量子自旋液体的相关理论和实验取得了很多进展,但至今仍然没有一个材料被公认为具有量子自旋液体基态。 2006年,加州理工学院的A.Kitaev教授提出了一种二维六角蜂窝状格子上自旋为1/2的模型,被称为Kitaev模型。该模型严格可解,且基态为量子自旋液体态。不同于由几何阻挫导致的量子自旋液体,Kitaev量子自旋液体是由于体系中的量子阻挫所致。在Kitaev量子自旋液体中存在拓扑受保护的非阿贝尔任意子激发,通过对任意子的操作,可以实现量子计算。因此,在实验上找到这类材料具有重大意义。最近几年,具有六角晶格的α-RuCl3提供了一个很好的平台来研究Kitaev物理。α-RuCl3在零磁场低温下会进入长程磁有序态,然而通过对该材料施加面内磁场进行调控,磁有序态会被逐渐抑制,在临界磁场以上,磁有序完全消失。为了研究临界磁场之上的磁无序态是否为所期望的量子自旋液体态,李世燕研究组对该材料进行了磁场下的极低温热导率实验。结果发现,其热导率几乎完全由声子贡献,磁激发仅仅起着散射声子的作用。这表明高场的磁无序相不是无能隙的Kitaev量子自旋液体。因此,对高场下α-RuCl3基态的描述有两种可能:一种可能是磁场诱导的磁无序态是一个有能隙的量子自旋液体;另一种可能是高场下α-RuCl3并不是自旋液体。这一结果对该材料高场下的基态给予了很强的约束,为进一步的理论和实验研究提供了方向。李世燕教授和温锦生教授为该工作的共同通讯作者,我系博士生俞云杰、徐杨和南京大学物理学院博士生冉柯静为该工作的共同第一作者。 图1:α-RuCl3的极低温热导率测量结果。 具有强自旋轨道耦合和三角晶格的YbMgGaO4作为自旋液体候选材料近几年也受到广泛关注。此前,李世燕课题组已经对YbMgGaO4单晶进行了详细的极低温热导率测量,没有观察到磁激发对热导率的贡献,对其是否具有自旋液体基态提出质疑[Physical Review Letters 117, 267202 (2016)]。最近,李世燕课题组与合作者又对YbZnGaO4和YbMgGaO4单晶进行了更加全面的实验测量和理论模拟。首先,非弹性中子散射发现YbZnGaO4的磁激发为主要集中于布里渊区边界的连续谱,且该连续谱的整体形状与引入无序的线性自旋波理论计算结果相吻合;其次,发现YbZnGaO4的热导率同样几乎完全由声子贡献,没有磁激发的贡献;更加重要的是,YbMgGaO4和YbZnGaO4的极低温交流磁化率在99和93mK分别存在一个宽峰,并且峰的位置随着测量频率的增加向高温方向出现明显的移动,而这恰恰是自旋玻璃态的特征。这项工作确定YbMgGaO4和YbZnGaO4的真实基态并不是量子自旋液体,而是自旋玻璃,这对今后的量子自旋液体研究具有重要借鉴意义。李世燕教授和温锦生教授、李建新教授、于顺利副教授为该工作的共同通讯作者,南京大学物理学院博士生马祯、王靖珲、董召阳和我系博士生张骏为该工作的共同第一作者。 图2:YbZnGaO4和YbMgGaO4的极低温热导率、交流磁化率测量结果。 以上研究得到了得到了国家重点研发计划、国家自然科学基金和上海市教委及科委项目共同资助。
