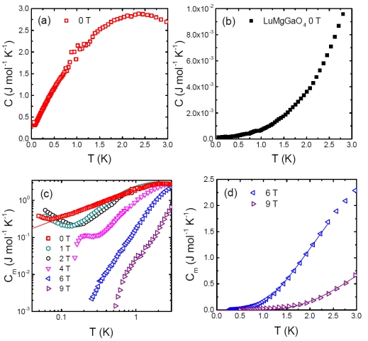
自旋液体作为一种新奇的量子物态,近年来在理论上和实验上都受到了广泛关注。在自旋液体中,随着温度降低,宏观数量的自旋相互纠缠,但并不会形成对称性破缺的长程磁有序态。自旋液体一般有可能出现在有几何阻挫的磁性材料中,在二维情形下比较有名的候选材料有三角格子的k-(BEDT-TTF)2Cu2(CN)3,EtMe3Sb[Pd(dmit)2]2,以及笼目格子的ZnCu3(OH)6Cl2等,然而至今还没有一个被广泛认可的真正具有自旋液体基态的材料。 2015年中国人民大学张清明教授研究组合成出了具有稀土元素Yb三角格子的YbMgGaO4材料【Y. S. Li et al.,Sci. Rep. 5, 16419 (2015)】,在该工作中,我系李世燕教授课题组参与了合作研究,通过对YbMgGaO4多晶的比热测量发现直到60 mK的低温(远低于其4 K的居里-外斯温度)都没有磁有序的迹象。之后,YbMgGaO4作为自旋液体的候选材料在近两年被深入研究,缪子自旋弛豫【Y. S. Li et al., Phys. Rev. Lett. 117, 097201 (2016)】和中子散射【Y. Shen et al., Nature 540, 559 (2016)】等实验结果认为其可能是一个无能隙的U(1)自旋液体。 要判定一个材料是否真正具有自旋液体基态,了解其低能元激发的热力学行为是非常必要的。最近李世燕课题组又对YbMgGaO4单晶样品进行了系统的极低温比热和热导率测量,主要结果如图1和图2所示。图1展示了YbMgGaO4单晶在0到9 T的外磁场下的极低温比热数据。通过减去非磁的对照材料LuMgGaO4的比热(完全来自于声子的贡献),可以得到YbMgGaO4的磁比热。在零场下YbMgGaO4的磁比热结果与之前的多晶样品相似,可以用幂函数拟合,幂指数为0.74,这个值接近无能隙的U(1)自旋液体的理论值2/3。在6 T和9 T高场下,磁比热可以用指数函数拟合,反映出高场下极化的铁磁态的磁子(magnon)能隙,拟合比热数据得到的磁子能隙大小与理论计算结果吻合。图2展示了YbMgGaO4单晶在0到9 T的外磁场下的极低温热导率数据。在零场下磁激发对YbMgGaO4的热导率没有明显的正的贡献,在磁场下热导率的增加表明声子受到的磁散射在减少。因此,对YbMgGaO4单晶的热导率行为可以描述为:其热导率几乎完全是由声子贡献的,没有磁激发的贡献;在低场时该磁性系统会散射声子,对声子的热导率起压制作用;在高场时样品进入完全极化态,磁子在低温下具有能隙,因此声子不受磁性系统的散射,声子热导率接近非磁的LuMgGaO4单晶的热导率。这些实验结果表明对YbMgGaO4基态的描述有两种可能,一种可能是YbMgGaO4的基态并不是一个自旋液体,其大的磁比热不是由自旋子(spinon)贡献的,而是有别的来源;另一种可能是YbMgGaO4的基态确实是自旋液体,但是其中的自旋子由于Mg2+/Ga3+离子层的无序被局域化了。总之,在零场下没有观察到磁热导率贡献这一实验结果对理论描述YbMgGaO4给予了很强的约束,对最终判定YbMgGaO4是否具有自旋液体基态具有比较重要的意义。 ?xml:namespace> 图1:YbMgGaO4单晶在0到9 T外磁场下的极低温比热数据。零场的磁比热可以用幂函数拟合,幂指数为0.74;在6 T和9 T高场下,磁比热可以用指数函数拟合。 图2:YbMgGaO4单晶在0到9 T外磁场下的极低温热导率数据。零场下磁激发对YbMgGaO4的热导率没有明显的正的贡献。其热导率在磁场下的增加表明声子受到的磁散射在减少。 该研究成果于2016年12月23日发表在美国《物理评论快报》上【Y. Xuet al., Phys. Rev. Lett. 117, 267202 (2016)】,论文第一作者为我系博士研究生徐杨同学,该工作中的YbMgGaO4单晶样品由中国人民大学张清明教授研究组提供。该项目受到国家自然科学基金委、科技部、以及上海市教委和科委的资助。 
