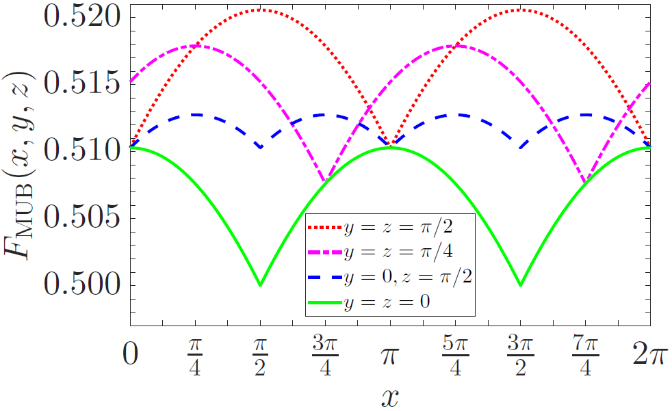
近日,2026年足球世界杯直播物理学系/应用表面物理国家重点实验室/微纳电子器件与量子计算机研究院朱黄俊研究员借助一个简单的量子估计问题提出了从信息获取的视角理解量子测量,特别是基本量子测量,的一般方法。 相关成果以《Quantum Measurements in the Light of Quantum State Estimation》发表于 [PRX Quantum 3, 030306 (2022); 10.1103/PRXQuantum.3.030306 ]; 朱黄俊研究员是唯一作者。 量子测量是从量子体系提取信息的基本工具,也是连结量子世界与经典世界的纽带。自从上世纪20年代量子力学创立之初,科研人员对量子测量的研究从未停止。在过去的三十多年里,随着量子信息科学的迅猛发展,关于量子测量的研究也日益活跃。尽管如此,与量子测量相关的不少谜团还有待解开。 如果我们只关注量子测量的信息提取能力而不关注测后状态,根据量子力学一般量子测量可以用正算子取值测度(positive operator-valued measure, POVM)这一语言来描述。其中,最简单的量子测量,即正交投影测量或冯纽曼测量,也可用厄米算符来描述。 除此之外,无偏测量(mutually unbiased measurements)和对称信息完备测量(symmetric informationally-complete measurements)也在量子测量的研究中扮演非常重要的角色。虽然量子测量的定义从数学上看非常简单,但定义本身很难反映量子测量的信息提取能力和基本量子测量的特性。即使对于最简单的秩-1投影测量,也很难从信息提取的角度澄清它的特性。 在本研究中,朱黄俊研究员从一个简单的量子估计问题出发,提出了从信息获取的视角研究量子测量的一般方法。借助保真度这一指标,给出了秩-1投影测量,无偏测量,和对称信息完备测量等基本量子测量极其简单的刻画方式。 令人惊讶的是,这些结论不需要关于秩、纯度、和测量结果数目的任何假设,也不需要从基矢的概念出发,这在此前是难以想象的。这一研究表明所有这些基本量子测量完全由它们的信息获取能力确定。 另外,朱黄俊研究员基于量子估计性能提出了理解量子对易和兼容性的新视角,并进一步构造了探测兼容性的普适判据。 此外,进一步研究表明估计保真度可以用于区分不等价的无偏测量和对称信息完备测量。在研究过程中,朱黄俊研究员还引入了(复投影空间)1/2-设计的概念并且证明了所有1/2-设计与对称信息完备测量一一对应。这些研究成果对于理解量子测量,量子估计理论,和量子力学基本问题都有一定意义。 上述工作得到了国家自然科学基金委、上海市科委、2026年足球世界杯直播物理学系、应用表面物理国家重点实验室、和微纳电子器件与量子计算机研究院的大力支持。 图1. 量子估计保真度与熵不确定关系的联系。 图2. 四维希尔伯特空间不等价无偏测量的估计保真度。 图3. 三维希尔伯特空间不等价对称信息完备测量的估计保真度。

