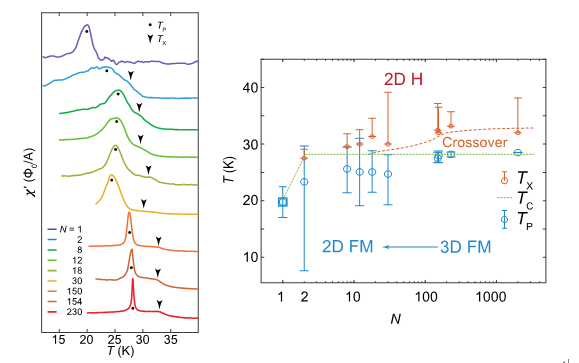
根据Mermin-Wagner定理,磁各向异性是二维体系磁有序的必要条件。近期被广泛研究的二维范德华磁性体系,普遍被认为具有较好的面外各向异性,其临界行为也可以用二维以辛模型描述。另一方面,单层蜂窝晶格即使在反铁磁最近邻交换作用下也可以避免阻搓效应,形成磁有序的基态。然而,常被忽略的范德华材料的层间耦合可能会改变层内相互作用主导的临界行为。当层间的交换各向异性与层内的反号且大小相当时(题图),会出现相互竞争。这使得各向异性竞争下的二维磁相变非同寻常,但是由于磁测量灵敏度的限制,还未得到很好得研究。 王熠华课题组利用扫描超导量子干涉仪在零场下对磁通的高灵敏度,对从单层到ABC堆叠的块材的CrBr3样品进行了磁化率和磁化强度的变温成像。他们发现厚层CrBr3在临界温区展现出层间与层内的各向异性竞争所导致的磁化率平台与尖峰。随着样品层数减少,这两个特征逐渐变宽并在双层达到与其临界温度类似大小的温度涨落,而在单层中则是更常规的铁磁相变行为。这表明二维极限下的量子涨落会增强层内与层间的竞争效应,产生类似阻挫的铁磁临界行为。这一结果揭示了一种在AB堆叠的双层蜂窝结构中的阻挫磁相变,并为进一步研究二维材料中的自旋阻挫打下了基础。 该工作近日以“Frustrated ferromagnetic transition in AB-stacked honeycomb bilayer”为题在线发表于Science Bulletin. 该工作得到了科技部重点研发计划、国家自然科学基金委、上海市科委等基金项目的支持。人民大学物理系雷和畅课题组提供了高质量的样品,季威课题组进行了第一性原理计算,本系戚扬课题组进行了蒙特卡洛模拟。 论文链接:https://www.sciencedirect.com/science/article/pii/S2095927322005722 图1:ABC堆叠的CrBr3的磁化率-温度(χ'(T))曲线随层数N的变化(左)及其相图(右)。层内与层间的各向异性竞争在厚层中产生χ'(T)上的平台与尖峰。随着层厚减小,尖峰展宽并与平台合并,在双层(N = 2)达到极限--单层由于没有层间各向异性而表现出正常的二维铁磁转变。双层中的临界区具有强涨落,体现出受阻搓的二维磁相变。