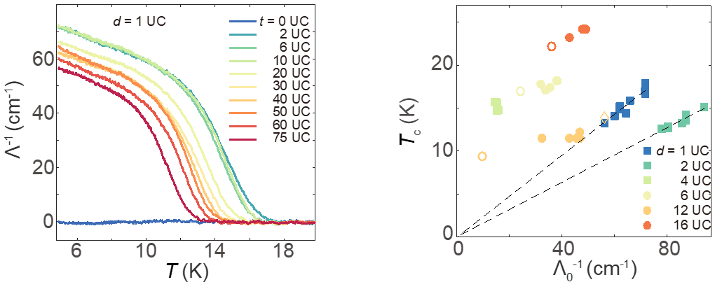
超导性的出现需要金属中的导电电子配对成库珀对并形成相位相干的超流凝聚态。对于常规的三维超导体,电子配对和相位相干在同样的临界温度TC发生。但是二维极限下,相位相干的超流出现在一个相对电子配对更低的温度,这就是著名的Berezinskii-Kosterlitz-Thouless (BKT) 相变。然而,高温超导体由于具有很强的自旋与电荷关联,加上配对的机制仍然不清楚,在二维极限下库珀配对与超导相位相干的关系是重要而未能充分研究的问题。 生长于SrTiO3上的单层FeSe薄膜就是这样一个界面高温超导体系。虽然能谱测量发现它具有比FeSe块材高很多的配对温度(约60K),可是始终没有对本征单层FeSe/SrTiO3超导抗磁性的实验报道。这很大程度是由于这个材料非常容易受到大气影响,而我们又普遍缺乏可以在超高真空下进行原位的相位灵敏的磁测量的手段。 王熠华课题组利用超高真空环境下的互感线圈这一对超导相位刚度灵敏的手段,原位测量了分子束外延生长的单至多层FeSe/SrTiO3薄膜。他们利用角分辨光电子能谱确定了不同层厚薄膜的能带结构和单层的超导配对温度。他们发现本征的单层与少层样品不具有迈斯纳抗磁性,表明超导相位相干受到了抑制。但是当其表面覆盖两层FeTe薄膜后,超导相位相干立即重新出现(图左)。令人意外的是,继续增加FeTe薄膜的厚度反而会降低TC和超流密度,且两者符合BKT相变的线性关系(图右)。照射紫外光会使已经具有相位相干的薄膜提高TC和超流密度,但是对于纯的单层薄膜却没有任何作用。这些结果表明FeSe/SrTiO3界面虽然可以大幅提高库珀配对强度,但是界面的电荷关联也会产生强各向异性的超导相位畴,以致于全局性的相位相干被抑制。我们猜想这可能意味着某种超导相位向列序的存在。 该工作近日以“Suppression and revival of superconducting phase coherence in monolayer FeSe/SrTiO3”为题在线发表于Nano Letters。 该工作得到了科技部重点研发计划、国家自然科学基金委、上海市科委等基金项目的支持。 论文链接:https://doi.org/10.1021/acs.nanolett.2c03587 图1 由原位互感测量获得的单层FeSe/SrTiO3的超流密度-温度(Λ^(-1) (T))曲线随表面覆盖的FeTe层数t的变化(左)及临界温度-零温超流密度间的关系(右)。在未覆盖FeTe的纯单层FeSe膜(t = 0)上,没有观测到抗磁信号。但是覆盖2层FeTe就使相位相干的超流出现。继续增加FeTe厚度反而会抑制TC和超流密度。在单层和少层中,TC和零温超流密度符合线性关系,意味着界面的BKT相变。