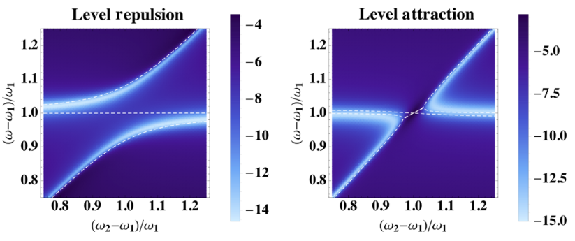
肖江课题组在微波腔自旋电子学领域提出了一种三振子耦合模型,解释了耗散耦合的微观物理机制。论文与2019年11月26日发表在《物理评论快报》上 (Phys. Rev. Lett. 123, 227201)。 然而,近期的实验(Phys. Rev. Lett. 121, 137203 (2018))报道,在微波腔体系中观测到了磁振子模式与光子模式之间的能级吸引(Level attraction),即两能级在互相接近时彼此吸引而非排斥。这种现象在数学上可以通过两个模式之间的耗散耦合来实现。然而这种非厄密的耦合方式无法用通常的简谐振子耦合模型来描述,因此其微观的物理机制尚不清晰。 为了解决上述问题,肖江课题组提出了一种三振子耦合模型,即除了磁振子、光子模式之外,还存在第三个模式,前两者通过这第三个模式间接耦合(见上左图)。为了实现耗散耦合,该第三模式不仅在能量上接近前两个模式,它还需具有较大的耗散。根据耦合机制是否具有耗散特性,磁振子和光子可能出现排斥性耦合或吸引性耦合(见上右图)。模型指出,这一高耗散模式即为谐振腔中具有较大耗散的偏振光子模式。上述三振子模型中的三个模式并不一定局限于微波腔自旋电子学系统中的磁振子和光子,原则上可以用于所有的耦合简谐体系(如弹性形变、铁电极化波、量子比特等)。 本工作的作者分别为我系的余伟超博士(现在日本东北大学金属材料研究所任助理教授)、大四本科生王炯杰以及南方科技大学的袁怀洋,肖江为论文通讯作者。该项目受到国家自然科学基金资助(No. 11722430, No. 11847202, and No. 61704071)以及应用表面物理国家重点实验室的支持。
微波腔自旋电子学是自旋电子学与腔量子电动力学的交叉学科,其主要研究对象为磁性材料中的磁振子与微波腔中光子之间的相互作用。通常,当微波腔内的微波模式(腔模)与磁性材料中磁矩的集体进动模式(Kittel模)频率相近时,两个模式之间的相互作用会使其本征频率发生排斥性劈裂,形成两个新的能级,分别高于/低于原有的能级。这种现象被称为能级排斥(Level repulsion),广泛存在于各种物理系统中。例如,在力学体系中,两个通过弹簧连接的机械简谐振子就会存在上述现象。类似的,如果将磁振子和光子分别等效成简谐振子,那么简谐振子模型就可被用来描述微波腔自旋电子学中的行为。