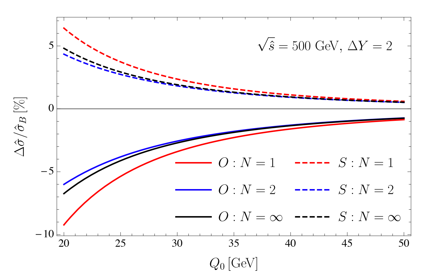
理解基本相互作用的本质是自然科学最前沿的研究领域,其中描述强相互作用的量子色动力学(QCD),是粒子物理标准模型的重要组成部分。由于渐进自由和色禁闭等特性,QCD 涉及的物理现象非常丰富,其中一个重要的预言就是喷注的产生。喷注描述了高能散射中夸克、胶子通过碎裂产生高能量强子束流的物理过程。2006年,英国曼彻斯特大学的理论物理学家发现,喷注产生的理论计算在微扰论四圈的水平上会出现“超级领头对数”效应。然而十几年间,人们对这种效应的物理性质并没有进一步的理解,其主要困难是相关理论框架不完善,其中不仅涉及到高圈多腿的费曼积分,而且还包含了高维度颜色矩阵的计算等难点。 图一 振幅水平所有阶超级领头对数的产生示意图 邵鼎煜青年研究员与其合作者基于重整化群理论,发展了新方法,研究了喷注产生过程中“超级领头对数”效应,首次得到了所有阶重求和的解析结果,并且发现了适用于任意反应过程的普适公式。该研究表明,超级领头对数的渐进行为与通常人们所熟知的Sudakov对数非常不同,从而揭示了Yang-Mill理论中散射过程红外结构的非平庸性。同时发现,在考虑五圈量子修正后,即使对Drell-Yan、或胶子融合Higgs产生等颜色结构较简单的反应过程,超级领头对数也会产生贡献,数值计算表明该效应对目前理论结果的修正可以达到5%以上。 图二 超级领头对数的数值结果 该工作于2021年11月19日在线发表于《物理评论快报》【Physical Review Letters,127, 212002 (2021)】。按照高能物理学界的惯例,文章依姓氏英文字母顺序署名,邵鼎煜青年研究员是文章的共同通讯作者,该工作得到了上海市自然科学基金、2026年足球世界杯直播引进人才启动经费的支持。 论文链接:https://journals.aps.org/prl/abstract/10.1103/PhysRevLett.127.212002

