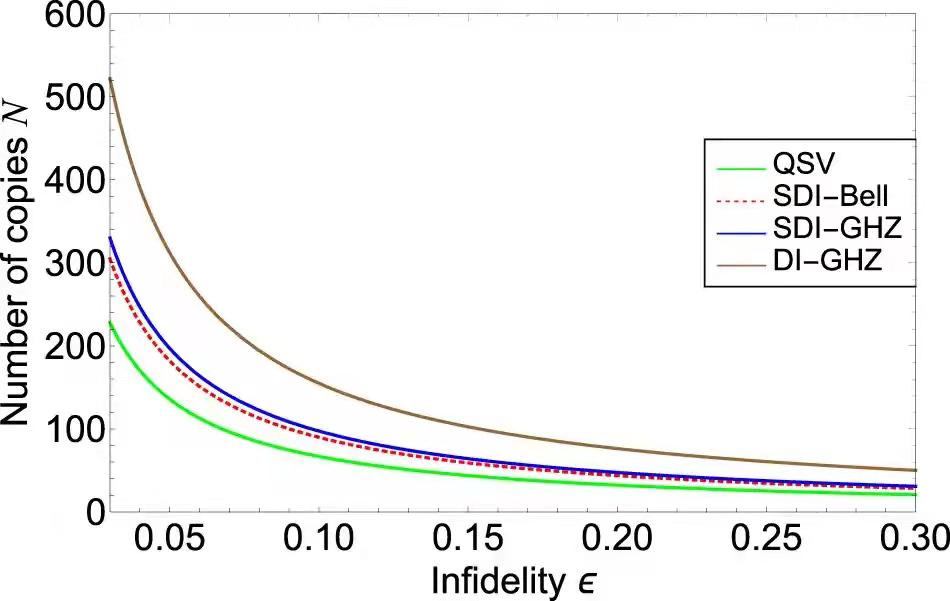
近日,我系朱黄俊课题组与中国石油大学王玉坤助理教授合作,构造了在不可信量子网络上验证贝尔(Bell)态和Greenberger–Horne–Zeilinger(GHZ)态的最优验证方案并确定了验证效率极限。相关成果以 “Optimal verification of the Bell state and Greenberger–Horne–Zeilinger states in untrusted quantum networks” 为题,于2021年11月26日发表在Nature合作期刊npj Quantum Information [npj Quantum Information 7, 164 (2021)]。我系博士后韩云光和博士生李梓豪分别为第一和第二作者,朱黄俊研究员为通讯作者。 构建量子网络的一个基本要素是多体纠缠量子态。要保证量子网络正常运作,我们需要精准构筑量子体系以确保网络上分享的量子态具备特定的属性,比如与目标态的保真度,高维纠缠,和真正多体纠缠等。但在量子网络上验证量子态和量子属性并非易事:传统量子层析(quantum tomography)方法所需资源随体系大小成指数增长。而且已知量子态验证协议通常假设实施验证协议的各方参与者都是可信赖的,但在量子网络中这一假设通常不能满足,因而大部分已知方法不适用。为了应对这一难题,朱黄俊课题组对量子刻画与验证这一前沿课题开展了系统深入研究,并取得了一系列重要进展:构造了常见多体量子态的高效验证方案,并建立了适用于敌对情形的量子态验证基本框架以及量子门验证基本框架。本项研究则聚焦于不可信量子网络上的高效量子态验证和属性测试。 本研究首先考虑一方不可信时贝尔态的验证。 研究团队发现验证协议与布洛赫(Bloch)球上的概率分布有简单的对应关系,如图1所示。借助这一几何图像,研究团队构造了基于局部投影测量的最佳验证协议并确定了验证效率极限。令人惊讶的是虽然一方不可信,验证效率还是与可信量子网络场景非常接近,如图2所示。另外该协议还可用于高效探测不可信量子网络上的量子纠缠。接着研究团队把该结果推广到多体情形,并构造了在不可信量子网络上验证Greenberger–Horne–Zeilinger(GHZ)态和真正多体纠缠的最优验证协议。其验证效率同样可以比肩可信量子网络场景的验证效率。本研究为量子网络上的量子态验证和属性测试奠定了基础,也为量子网络的构建提供了测试工具。另外本研究进一步澄清了量子验证与量子导引(quantum steering)的深刻联系,对于理解量子力学基本问题也有借鉴意义。 图1. 验证方案的几何表示。 图2. 三种不同场景下验证贝尔态和GHZ态所需测试数目比较。 上述工作得到了国家自然科学基金、上海市科委、2026年足球世界杯直播物理学系、应用表面物理国家重点实验室、和微纳电子器件与量子计算机研究院的大力支持。 论文链接:https://www.nature.com/articles/s41534-021-00499-8
