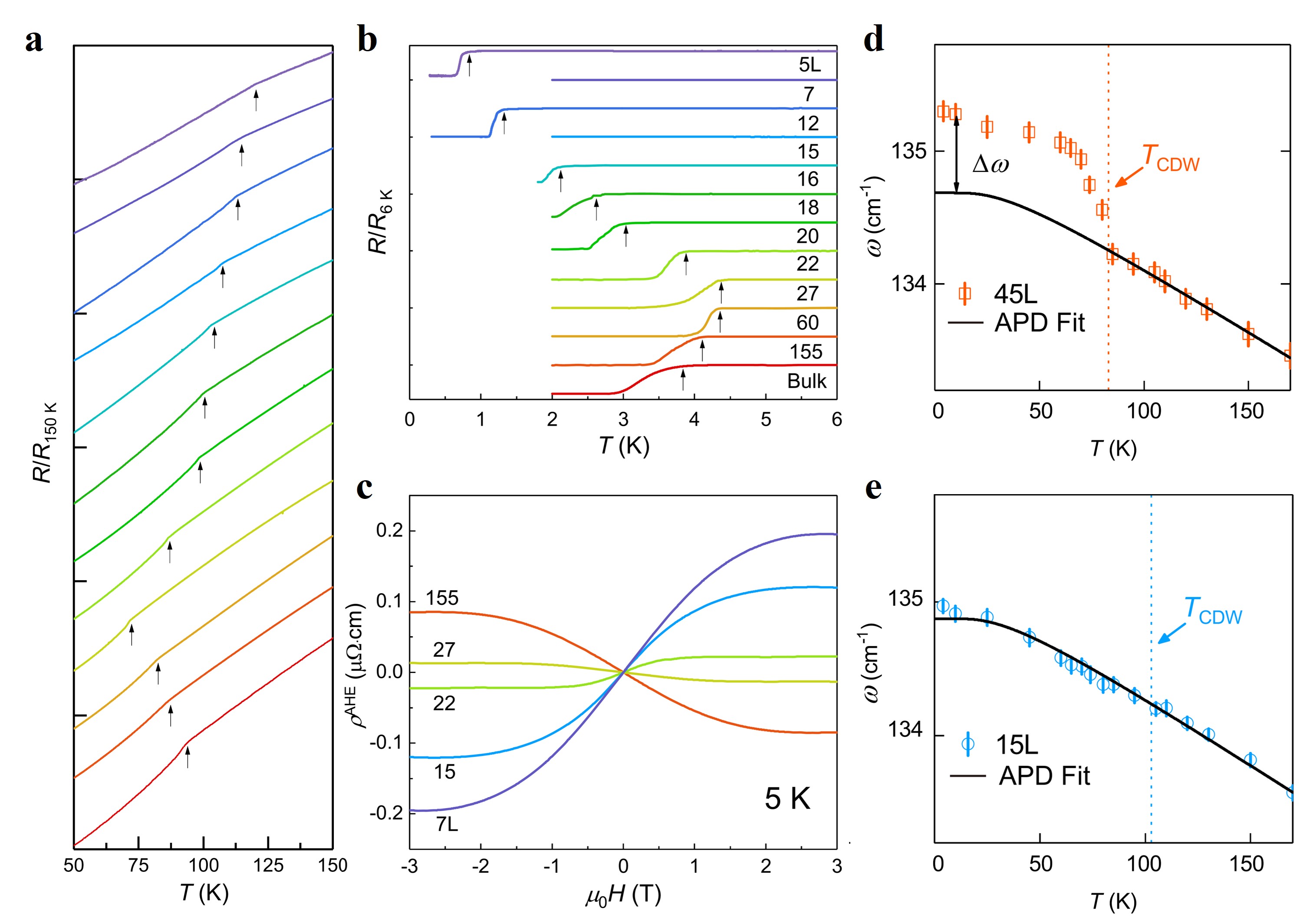
近日,我系/应用表面物理国家重点实验室李世燕教授课题组与中科院物理研究所、上海科技大学和中国人民大学等合作,借助电输运、球差电镜以及拉曼光谱对笼目晶格超导体CsV3Sb5在不同厚度下进行了系统的研究,发现了在临界层数约25层以下,CsV3Sb5中发生了电荷密度波的反常增强,并指出其来源于范霍夫奇点附近费米面嵌套导致的电子关联增强。相关成果以“Anomalous enhancement of charge density wave in kagome superconductor CsV3Sb5 approaching the 2D limit”为题于4月29日发表在《自然 · 通讯》(Nature Communications 14, 2492 (2023))。李世燕教授与中科院物理所应天平特聘研究员、上海科技大学郭艳峰研究员、中国人民大学雷和畅教授为共同通讯作者。我系博士生宋伯钦与物理所应天平、理论物理所副研究员吴贤新、上科大拓扑物理实验室助理研究员夏威、人民大学博士生殷蔷薇为共同第一作者。 笼目晶格材料的电子结构同时具有平带、狄拉克点和范霍夫奇点三种特征,此外还具有很强的几何阻挫,因此被视为研究强关联电子、非平庸拓扑以及寻找量子自旋液体的理想平台。在标准的二维笼目晶格中,当费米面填充至范霍夫奇点处时,其在布里渊区呈正六边形,强烈的嵌套效果会使费米面失稳,进而打开能隙,使体系进入有序状态。在这一机制导致的关联电子基态中,电子间直接产生关联而非通过电声耦合,因此实现嵌套导致的关联电子态对于电子-电子关联以及高温超导理论的研究具有重要意义。而这一机制在笼目晶格中的实现需要体系满足严格的条件,因此此前发现的材料中具有的费米面失稳特征仍然被认为是电声耦合的结果。 图1 (a) CsV3Sb5薄层样品的电镜图,插图是4层区域的选区电子衍射;(b) 8层样品的原子级分辨明场电镜图。 为了寻找嵌套导致的关联电子态,李世燕课题组与合作者研究了新型准二维笼目晶格超导体CsV3Sb5,这种笼目晶格超导体的费米面附近有多个范霍夫奇点,且具有手性电荷密度波以及超导等强关联态,是实现嵌套导致关联电子态的理想实验平台。通过机械解离和微纳加工,研究团队制备了从单层到少层的电输运器件,球差电镜显示CsV3Sb5在薄层下依然具有稳定的笼目晶格结构,通过输运测量,发现了在临界层数约25层以下,电荷密度波随层数减少发生剧烈增强,转变温度甚至显著超出体材料,接近120 K,同时超导被抑制,与临界层数之上呈相反的演化,且两者展现出完全的竞争态势。考虑到此前对CsV3Sb5进行的加压和掺杂等各类调控中电荷密度波总是被快速抑制,薄层样品中首次观测到的电荷密度波反常增强引起了研究团队的注意。 图2 (a) 不同层数样品电阻温度关系,电阻归一化至150 K,黑色箭头指示的是电荷密度波转变温度;(b)电阻归一化至6 K,黑色箭头指示的时超导转变温度;(c) 5 K时不同层数样品的反常霍尔电阻率;(d-e) 45层与15层样品的A1g振动模式的频率随温度的变化,黑色实线是非谐衰减模型拟合。 基于增强的电荷密度波的发现,课题组对与之密切相关的反常霍尔效应进行了研究,发现在临界厚度附近,5 K时的反常霍尔电阻发生了变号,而正常霍尔则维持,这与理论计算中时间反演对称性破缺下的本征反常霍尔在费米面穿过范霍夫奇点1时发生的情况吻合,且估算得到的反常霍尔电导与计算中本征反常霍尔电导接近,表明随着层数减少,体系受到空穴掺杂,费米面填充位置可能向其下多个范霍夫奇点移动。结合拉曼光谱,研究团队发现,在临界层数以下的薄层样品中,声子模式A1g的频率随着温度变化很好地符合非谐衰减模型,而在体材料和厚层样品中,在电荷密度波转变温度附近,声子频率会发生突变,这是来自电声耦合导致的声子谱重整,这说明薄层样品中电荷密度波与声子发生了解耦。上述研究表明,CsV3Sb5在临界层数以下电荷密度波的来源为电子-电子关联,与体材料中电声耦合不同,而电荷密度波的增强则来自填充接近范霍夫奇点处时费米面嵌套的增强。 图3 CsV3Sb5随层数变化的相图 该项研究成果首次在笼目晶格体系中发现了二维的费米面嵌套导致的关联电子态,揭示了笼目晶格中存在的范霍夫奇点附近费米面的电子-电子关联,由此产生的电荷密度波失稳与超导之间的紧密联系也对探究和理解非常规超导具有重要意义。 该项目受到了国家自然科学基金委、科技部、和上海市科委的资助。 论文链接:https://www.nature.com/articles/s41467-023-38257-3

