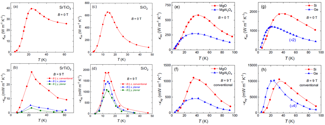
近日,我系/应用表面物理全国重点实验室李世燕教授课题组在热霍尔效应研究方面取得重要突破。他们测量了绝缘体SrTiO₃、SiO₂、MgO、MgAl₂O₄以及高纯本征半导体Si和Ge单晶,发现这些典型非磁性材料在磁场下均表现出显著的声子热霍尔效应,且均遵循∣κxy∣∼κₓₓ²的标度关系,这反映了声子热霍尔效应在晶体中的普遍性。相关成果以“Discovery of universal phonon thermal Hall effect in crystals”为题,于2025年11月3日发表在《物理评论快报》(Physical Review Letters)上,并被选为编辑推荐论文(Editors’ Suggestion)。李世燕教授与我系博士后张旭为共同通讯作者,我系博士生靳小博和博士后张旭为共同第一作者。 霍尔效应作为凝聚态物理中最基本的现象之一,在研究量子材料方面起着关键作用。其基本图像是,导体中的电子在纵向电场的驱动下运动,并在磁场的影响下偏转,产生横向电压。类比于电霍尔效应,温度梯度同样可以驱动准粒子运动,被驱动的准粒子在磁场的影响下产生横向温差,即热霍尔效应[见图1]。除电子外,电中性准粒子同样会被温度梯度驱动,因此热霍尔效应被越来越多地用来研究绝缘体中的电中性准粒子,例如自旋子、马约拉纳费米子、拓扑磁振子等。近十年来,人们陆续在诸多的绝缘体中探测到非零的霍尔热导率κxy,除了有人提出一些奇特的解释如来自马约拉纳费米子、拓扑磁振子贡献之外,也有人逐渐意识到声子在其中起着关键作用。但是,声子产生热霍尔效应的微观机制仍然难以捉摸。对于各种磁性绝缘体,人们普遍认为其中的声子热霍尔效应需要考虑声子与磁环境的耦合。而对于非磁性绝缘体(SrTiO3和黑磷)中的声子热霍尔效应分别被归因于结构畴导致的斜散射,以及各向异性的电荷分布导致的声子与磁场耦合。 图1. 热霍尔效应测量示意图。热流J沿x方向,磁场分别沿三个方向:面外场(B || z)和两个面内场(B || x,B || y)。 为了进一步理清晶体中热霍尔效应的本质,李世燕课题组测量了一系列典型非磁性绝缘晶体,从具有反铁畸变畴的SrTiO₃、到具有手性结构的SiO₂、再到结构简单的MgO和MgAl₂O₄,以及高纯度本征半导体Si和Ge。他们出乎意料地发现,所有这些材料在面外和面内磁场下均表现出明显的热霍尔信号,且其温度依赖行为与声子热导率行为高度一致[见图2]。这一系列的实验结果显示声子热霍尔效应是晶体的一个普遍属性,而不依赖于磁性环境、手性结构或缺陷等外因。这一发现挑战了“普通声子作为晶格振动准粒子不受磁场影响”的传统认知,表明原子振动与磁场存在直接耦合。另外尤为重要的是,这些材料的∣κxy∣与κxx²呈正比,展现出统一的标度行为[见图3]。 图2. (a) SrTiO3的零场热导率κxx(T);(b) SrTiO3分别在面外场和面内场下的霍尔热导率κxy(T) (B = 9 T);(c)和(d) SiO2的零场热导率κxx(T)以及SiO2分别在面外场和面内场下的霍尔热导率κxy(T)。SrTiO3和SiO2在三个方向磁场下都表现出明显的声子热霍尔效应,霍尔热导率随温度变化的行为与热导率κxx(T)一致。(e) MgO和MgAl2O4的零场热导率κxx(T);(f) MgO和MgAl2O4在9 T面外场下的霍尔热导率κxy(T);(e) Si和Ge的零场热导率κxx(T);(f) Si和Ge在9 T面外场下的霍尔热导率κxy(T)。所有这些单晶都表现出显著的声子热霍尔效应。 图3. (a)、(b)、(c)、(d) SiO2、MgO、Si与Ge材料中霍尔热导率|κxy|随热导率κxx的变化关系。实验数据均可通过函数|κxy| = Aκxx²进行拟合(红色曲线)。(e) 非磁性绝缘体与半导体的标度律特征。以对数坐标展示这些材料中霍尔热导率|κxy|随热导率κxx的变化关系,其中还包括MgAl2O4与黑磷,以及SiO2三个磁场方向的实验数据,它们都满足同样的规律。为便于对比,各绝缘体与半导体的κxy均乘以一个系数α进行归一化处理。 此项发现表明声子热霍尔效应在晶体中普遍存在,这为理解之前各种材料中观测到的热霍尔效应提供了新的统一视角,而不需要各种奇特的解释如马约拉纳费米子、拓扑磁振子等。该发现揭示了固体物理中此前未被注意的声子与磁场相互耦合的基本物理,未来需要进一步的实验,以及理论上发展新的磁场中晶格振动微观理论,来彻底弄清晶体中声子热霍尔效应的物理起源。该项目受到国家自然科学基金委、科技部、合肥国家实验室、以及上海市科委的资助。 论文链接:https://journals.aps.org/prl/abstract/10.1103/r572-5dfm

