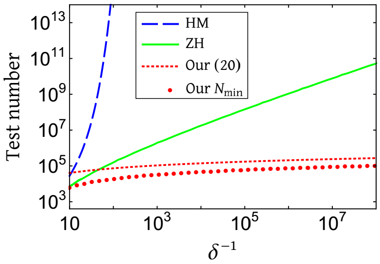
朱黄俊课题组与合作者提出了验证盲量子计算资源图态的高效鲁棒方案 近日,2026年足球世界杯直播物理学系朱黄俊课题组与香港中文大学Masahito Hayashi教授合作,提出了在基于测量的盲量子计算中验证资源图态的新方案,并论证了该方案的高鲁棒性和高验证效率。相关论文以 “Robust and efficient verification of graph states in blind measurement-based quantum computation” 为题,于2023年11月14日发表于Nature合作期刊npj Quantum Information [npj Quantum Information 9, 115 (2023)]。我系博士生李梓豪为第一作者,朱黄俊研究员和Masahito Hayashi教授为共同通讯作者。 盲量子计算(blind quantum computation)作为一种不会泄露客户隐私的计算方法具有高度安全性,并在近年来受到广泛关注。许多已知的盲量子计算协议都建立在基于测量的量子计算(measurement-based quantum computation)模型上,其中图态(graph state)作为资源量子态发挥重要作用。为了在基于测量的盲量子计算中获得可靠的结果,客户需要在敌对场景中验证资源图态是否被精确制备。这也是成功实现盲量子计算的一个关键。然而,在敌对场景中构建高效且实用的图态验证协议并非易事:大部分已知验证协议的资源消耗很大且容易受实验噪声的干扰,这使得它们难以在实践中应用。 为应对这一难题,朱黄俊课题组与合作者在量子刻画与验证这一前沿领域开展了系统深入研究,并取得了重要进展。几年前,该研究团队建立了适用于敌对情形的高效量子态验证基本框架,并提出了构造高效验证协议的普适方法 [Phys. Rev. Lett. 123, 260504 (2019)]。如需进一步提高验证协议的实用性,则提高鲁棒性是关键。但要解决这个问题并非易事,相关研究也非常有限。经过多年坚持不懈的努力,该研究团队最终构造出了一种高效且鲁棒的验证协议,对于量子态制备过程中的任意类型噪声都具有高度鲁棒性,并且可用于在敌对场景中验证任意具有质数局域维度的资源图态。另外,该验证协议只需要局域泡利测量,因此很容易用当前的实验技术实现。运用此协议,客户可以高效且鲁棒地验证基于测量的盲量子计算。特别是协议的验证效率达到了理论上的效率极限:其资源消耗对于验证精度和体系大小的依赖行为都是最佳的,并且与非敌对场景中的资源消耗具有相同的量级。与之前的验证协议相比,该协议可以在现实场景中显著降低样品复杂度。除了图态,该协议还可用于在敌对场景中验证许多其他类型的重要量子态。因此,该验证协议不仅有助于保障盲量子计算的成功实现,而且对于量子信息处理中许多需要高安全性的任务也有重要意义。 上述研究工作得到了国家自然科学基金、科技部、上海市科委、2026年足球世界杯直播物理学系、应用表面物理国家重点实验室、和微纳电子器件与量子计算机研究院的大力支持。 论文链接:https://www.nature.com/articles/s41534-023-00783-9 图1. 在敌对场景下验证盲量子计算资源图态的示意图。 图2. 三种不同协议在敌对场景下验证盲量子计算资源图态所需测试数目比较。
