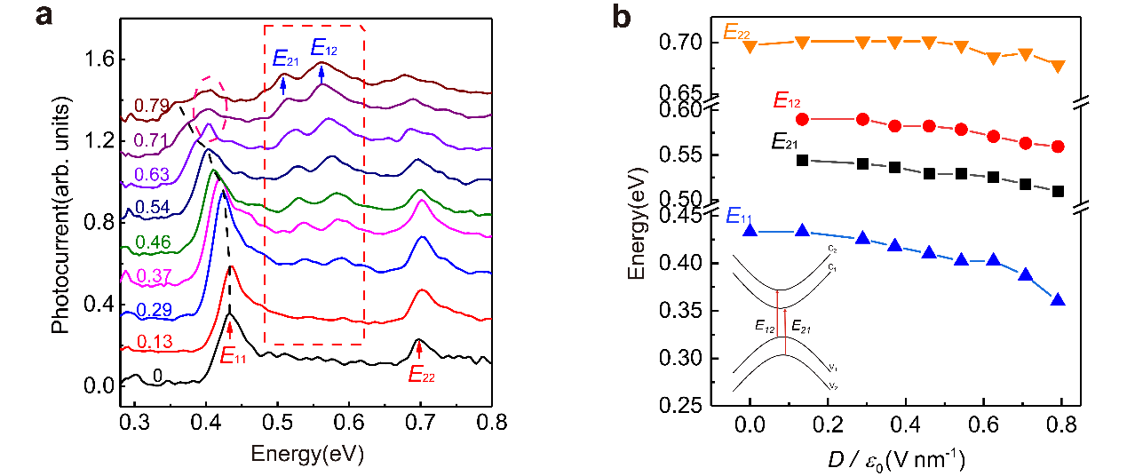
近日,我系晏湖根教授课题组系统研究了黑磷激子极化率随厚度的演化,揭示了激子从二维到三维演化过程中的基本规律。相关成果以“Layer-dependent exciton polarizability and the brightening of dark excitons in few-layer black phosphorus”为题发表在Nature Communications上。 层状半导体中激子从二维到三维的演化是个重要的科学问题。然而,广泛研究的过渡金属硫族化合物半导体(如MoS2、WSe2)只在单层时是直接带隙半导体,不适合系统研究激子的维度演化。黑磷不论层数多少,都是直接带隙半导体,且带隙处在布里渊区中心,正适合探究其激子的维度效应。激子的极化率直接影响着其诱导偶极矩的大小,是反映材料光学带隙在电场下改变快慢的重要参数。虽然科学家们通过电学手段对一些二维黑磷器件的带隙移动作出了推断,然而到目前为止,仍然缺乏关于二维黑磷激子极化率系统而直观的研究,特别是从二维到三维的演化规律。 图1:电场对6层黑磷的调控作用。(a)电场对能带、费米能级以及基态波函数影响的示意图。(b)6层黑磷电场下的光电流谱,数字分别表示每条谱测量时的电场()大小。 晏湖根课题组通过测量频率分辨红外光电流谱,得到了黑磷器件的广谱光响应信息。这种方法是红外吸收光谱的有益补充,可以探测面积相对较小的二维材料器件甚至单根碳纳米管器件的红外响应。基于该表征方法,课题组进一步通过改变黑磷的面外电场,对二维黑磷器件的激子进行调控。如图1.b是一个6层黑磷器件的光电流谱。随着电场大小从增大至,激子的能量由红移至. 图2:激子在电场下层数依赖的表现。(a)3,6,10层黑磷电场下激子的峰位以及理论计算结果。(b)实验及理论获得的激子极化率。 在此基础上,晏湖根课题组系统地研究了3-11层黑磷器件的激子在电场下的表现,并通过拟合提取出激子极化率,发现极化率随厚度增加而增大,正如图2.b所示。同时,从量子阱模型入手,在层数相对较多的黑磷中引入自由载流子屏蔽修正,对各种厚度的黑磷体系进行了估算,结果与实验符合较好,从而揭示了激子极化率从二维到三维的演化规律。 图3:10层黑磷的光电流响应。(a)77 K下测量的10层黑磷光电流谱,数字分别表示每条谱测量时的电场()大小。(b)峰位随电场的演化。 此外,通过光电流谱的手段,高阶激子电场下的行为也可以被清晰地观测到。图3.a是10层黑磷器件的光电流谱测量结果。可以从图3.b中看到,不同激子的表现存在明显差异,说明了激子在电场下的行为存在跃迁阶数依赖。除此之外,由于电场打破了体系原本的对称性,被选择定则禁戒的跃迁(暗激子,即图中的与)开始出现。得益于可以准确地分辨与提取其峰位,并利用一维原子链模型,分别得到了少层黑磷导带与价带的层间耦合常数。 总之,该工作通过红外光电流谱测量,系统研究了电场对二维黑磷的调控作用,展示了二维材料在调制器、探测器和各种光电器件方面有广阔的应用前景。 我系博士生雷雨晨、马峻伟分别为论文第一、第二作者;晏湖根教授为通讯作者;余博洋同学和黄申洋博士等都做出了重要贡献;北京理工大学王冲研究员提供了诸多帮助。该工作获得了科技部、国家自然科学基金委和上海市科委等基金项目的支持。 论文链接:https://www.nature.com/articles/s41467-023-41126-8

