欢迎访问!
 
欢迎2024年夏令营同学进群咨询(或微信联系13868400896):
 

李卫华 (Prof. Weihua Li)  

Contact details

Role: Professor of macromolecules

Email: weihuali@fudan.edu.cn

Tel: +86-21-31243579

Location:

B-3080 Chemistry Building,

Department of Macromolecular Science, Fudan University

#2005 Songhu Road, Shanghai, 200438, China

 
     

个人简介

2015至今 复旦大学高分子科学系 教授 博士生导师

2007-2014 复旦大学高分子科学系 副教授

2006-2007 加拿大McMaster大学物理和天文系 博士后

2004-2006 加拿大St. Francis Xavier大学物理系 博士后

1999-2004 上海交通大学 理论物理博士

1995-1999 上海交通大学 物理学士

李卫华博士(教授,博导)分别于1999年、2004年于上海交通大学物理系获得物理学学士、理论物理博士学位。 2004-2007年在加拿大St. Francis Xavier University和McMaster大学从事了3年的博士后研究。2007年加入复旦大学高分子科学系,担任副教授、教授。 从博士后开始,主要研究兴趣是高分子物理的理论研究。在过去的十多年里,在Phys. Rev. Lett., J. Am. Chem. Soc., ACS Macro Lett., Macromolecules, Prog. Polym. Sci. 等刊物上以第一作者或通讯作者发表SCI论文70余篇。在复旦大学工作以来,获得了青年基金和4个面上项目的支持,并于2013年和2019年分别获得国家自然科学基金委优秀青年基金和杰出青年基金项目的资助。

 

 

研究兴趣

李卫华教授团队主要运用高分子理论方法和计算机模拟探索聚合物分相的热力学平衡态和动力学, 最近的重点研究课题是嵌段共聚物分相纳米结构的分子设计,也就是通过设计嵌段共聚物分子结构,实现新颖的非传统相结构, 并且计算这些相结构的性能;最终的研究目标是从分子结构出发,理论预测理想的聚合物分相材料。 对于理论研究,最重要的意义体现在为实验预测新结果,最重要的肯定是得到实验的证实。 非常幸运,我们的理论结果已经得到了多个著名课题组的实验证实,包括美国科学院院士F. Bates教授课题组、C. Bates课题组(F. Bates的儿子)、日本名古屋大学Matsushita教授课题组、韩国浦项科技大学Kim教授课题组等。

 

Research Results

1.Forward problem of block copolymer self-assembly

(1)helical structures from the self-assembly of achiral AB diblock copolymers under cylindrical confinement


Weihua Li and R. A. Wickham, Self-assembled morphologies of a diblock copolymer melt confined in a cylindrical nanopore, Macromolecules 39, 8492 (2006).

Weihua Li, R. A. Wickham and R. A. Garbary, Phase diagram for a diblock copolymer melt under cylindrical confinement, Macromolecules 39, 806 (2006).

Weihua Li and R. A. Wickham, Influence of the surface field on the self-assembly of a diblock copolymer melt confined in a cylindrical nanopores, Macromolecules 42, 7530 (2009).

H. L. Deng, Y. C. Qiang, T. T. Zhang, Weihua Li*, T. Yang*, Chiral selection of single helix formed by diblock copolymers confined in nanopores, Nanoscale 8, 15961-15969 (2016).

 

(2)double/triple helical structures from the self-assembly of linear ABC triblock copolymers

Weihua Li*, F. Qiu, A. C. Shi*, Emergence and Stability of Helical Superstructures in ABC triblock copolymers, Macromolecules 45, 503 (2012).

(3)other interesting structures from the self-assembly of linear/star ABC triblock copolymers

 

H. L. Deng, Weihua Li*, F. Qiu, A. C. Shi,Self-Assembled Morphologies of Linear and Miktoarm Star Triblock Copolymer Monolayers, J. Phys. Chem. B (2017).

C. Duan, Weihua Li*, F. Qiu, A. C. Shi, Planet-Satellite Micellar Superstructures Formed by ABCB Terpolymers in Solution, ACS Macro Lett. 6, 257-261 (2017).

M. J. Liu, Weihua Li*, F. Qiu, A. C. Shi, Theoretical Study of Phase Behavior of Frustrated ABC Linear Triblock Copolymers, Macromolecules 45, 9522 (2012).

Y. C. Xu, Weihua Li*, F. Qiu, Y. L. Yang, A. C. Shi, The influence of volume fractions on the phase behaviors of linear A(BC)nBA' multiblock terpolymers, Phys. Chem. Chem. Phys. 13, 12421 (2011).

Y. C. Xu, Weihua Li*, F. Qiu, Y. L. Yang, A. C. Shi, Stability of perpendicular and parallel lamellae within lamellae of multiblock terpolymers, J. Phys. Chem. B 114, 14875 (2010).

Weihua Li*, Y. C. Xu, G. J. Zhang, F. Qiu, Y. L. Yang, A. C. Shi, Real-space self-consistent mean-field theory study of ABC star triblock copolymers, J. Chem. Phys. 133, 064904 (2010).

Weihua Li* and A. C. Shi, Theory of hierarchical lamellar structures from A(BC)nBA multiblock copolymers, Macromolecules 42, 811 (2009).

More details will be added in future.

 

2. Inverse problem of block copolymer self-assembly

(1)Crystalline structures: binary crystals

Abiding by proposed guiding principles, BABCB multiblock copolymers have been designed leading to a large number of binary crystalline structures.

N. Xie, M. J. Liu, H. L. Deng, Weihua Li*, F. Qiu, A. C. Shi, Macromolecular metallurgy of binary mesocrystals via designed multiblock terpolymers, J. Am. Chem. Soc. 136, 2974 (2014).

M. J. Liu, B. K. Xia, Weihua Li*, F. Qiu, A. C. Shi, Self-Assembly of Binary Mesocrystals from Blends of BABCB Multiblock Copolymers and ABC Triblock Copolymers, Macromolecules 48, 3386-3394(2015).

(2)Crystalline structures: Frank-Kasper phases from ABm miktoarm block copolymers

 

N. Xie, Weihua Li*, F. Qiu, A. C. Shi, σ phase Formed in conformationally asymmetric AB-type block copolymers, ACS Macro Lett. 3, 906 (2014).

M. J. Liu, Y. C. Qiang, Weihua Li*, F. Qiu, A. C. Shi, Stabilizing the Frank-Kasper phases via binary blends of AB diblock copolymers, ACS Macro Lett. 5, 1167-1171 (2016).

M. J. Liu, Weihua Li*, F. Qiu, A. C. Shi, Stability of the Frank-Kasperσ-phase in BABC linear tetrablock terpolymers, Soft Matter. 12, 6412 (2016).

(3)Nonclassical ordered phases: square cylinders, graphene-like cylinders, and honeycomb-like network structures from designed AB-type multiblock copolymers

 

Y. Gao, H. L. Deng, Weihua Li*, F. Qiu, A. C. Shi, Formation of nonclassical ordered phases of AB-type multiarm block copolymers, Phys. Rev. Lett. 116, 068304 (2016).

More details will be added in future.

3. Directed self-assembly

(1)Ordering dynamics of self-assembly in DSA

Using time-dependent Ginzburg-Landau theory simulations, the mechanism for the limit in the directing efficiency has been revealed.

Weihua Li*, F. Qiu*, Y. L. Yang, A. C. Shi, Ordering dynamics of directed self-assembly of block copolymers in periodic two-dimensional fields, Macromolecules 43, 1644 (2010).

Weihua Li*, N. Xie, F. Qiu, Y. L. Yang, A. C. Shi, Ordering kinetics of block copolymers directed by periodic two-dimensional rectangular fields, J. Chem. Phys. 134, 144901 (2011).

Y. C. Xu, N. Xie, Weihua Li*, F. Qiu, A. C. Shi, Phase behaviors and ordering dynamics of diblock copolymer self-assembly directed by lateral hexagonal confinement, J. Chem. Phys. 137,194905 (2012).

 

(2)New directing strategy based on heterogeneous nucleation has been developed

N. Xie, Weihua Li*, F. Qiu, A. C. Shi, New strategy of nanolithography via controlled block copolymer self-assembly, Soft Matter 9,536-542 (2013).

H. L. Deng, N. Xie, Weihua Li*, F. Qiu, A. C. Shi, Perfectly Ordered Patterns via Corner-Induced Heterogeneous Nucleation of Self-Assembling Block Copolymers Confined in Hexagonal Potential Wells, Macromolecules 48, 4174-4182 (2015).

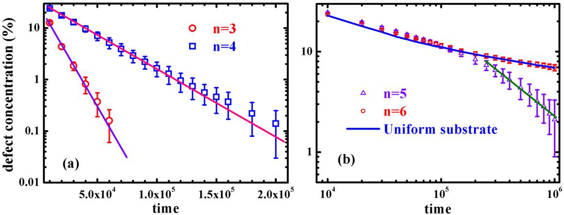
(3) Defect removal kinetics

Defect removal mechanism has been revealed by using SCFT together with the string method.

Weihua Li, P. F. Nealey, J. J. de Pablo, M. Müller, Defect removal in the course of directed self-assembly is facilitated in the vicinity of the order-disorder transiton, Phys. Rev. Lett. 113, 168301 (2014).

Weihua Li, M. Müller, Thermodynamics and kinetics of defect motion and annihilation in the self-assembly of lamellar diblock copolymers, Macromolecules 49, 6126-6138 (2016).

More details will be added in future.

 

Open Positions

Postdoctoral positions for polymer physics theory. Experience in computer simulation and calculation is desirable. Applicants should send (preferably by email)
(1)CV
(2)List of publications
(3)Statement of research interests and plans

Ph.D & Master graduate positions are available.

 

List of Recent Publications

(119) Shuchen Lu, Qingliang Song*, Qingshu Dong, Weihua Li*, Stabilize a Nonclassical Square Array of Cylinders by Tailoring ABA/AB Block Copolymer Blends, Macromolecules, 58 ,11249-11257 (2025).

(118) Qingshu Dong*, Qingliang Song, Kun Tian, Weihua Li*, AI-driven automated construction of block copolymer phase diagrams, Chinese journal of polymer science, 43 ,1-9 (2025).

(117) Xinyu Wang, Yi Feng, Shuchen Lu, Xueyan Feng*,Guowei Wang*,Weihua Li*, SCFT-Guided Experimental Fabrication of Double-Diamond Structures in A1B/A2B Block Copolymer Binary Blends, Macromolecules, xx ,xxxx-xxxx (2025).

(116) T. S. Chen, Zhanwen Xu*, X. Chu, P. Li, Xianbo Huang*, weihua Li*, A Simulation Study on the Effect of Tailoring Molecular Architectures on the Mechanical Behaviors of Lamella-Forming BABCB Linear Multiblock Copolymers, Macromolecules, xx ,xxxx-xxxx (2025).

(115) B. Zhao, C. Wang, P. Li, W. H. Li, Yicheng Qiang*, Laves Phases Emerge in Neat AB-Type Block Copolymer as Hybrid Spherical Phases, ACS Macro Lett., 14 ,721-726 (2025).

(114) J. Q. Zhang, Qingliang Song*, P. Li, Xianbo Huang*, Weihua Li*, Square Array of Cylinders Formed in Linear-Bottlebrush-Linear Triblock Copolymers, Macromolecules, 58 ,4112-4121 (2025).

(113) J. H. Shi, Qingshu Dong*, T. Yang, Weihua Li*, Effect of architectural asymmetry of hyperbranched block copolymers on their phase boundaries, Phys. Chem. Chem. Phys., 27 ,6465-6472 (2025).

(112) H. Y. Shen, Junying Yang*, Weihua Li*, Defect Annihilation Mechanisms in Hexagonal Cylinders Formed by Diblock Copolymers under Triangular Confinement, Macromolecules, 58 ,439-450 (2025).

(111) X. Chu, Zhanwen Xu*, Y. C. Cao, Weihua Li*, Simulation Study on the Mechanical Properties of Lamella-Forming ABABA Linear Multiblock Copolymers, Macromolecules, 57 ,9536-9545 (2024).

(110) Y. F. Cheng, Zhanwen Xu*, Weihua Li*, Understand the Relative Stability of Single-Gyroid to Double-Gyroid in AB-Type Block Copolymer:Chain Packing and Geometric Analysis, Macromolecules, 57 ,9167-9180 (2024).

(109) Q. L. Song, J. Zhou, Q. S. Dong, J. S. Xiang, Shisheng Xiong*, Weihua Li*, Directed Self-Assembly by Sparsely Prepatterned Substrates with Self-Responsive Polymer Brushes, Langmuir, 40 , 15877-15886 (2024).

(108) X. T. You,Zhanwen Xu*, Qingshu Dong*, Weihua Li*, Largely Asymmetric Binary Mesocrystals beyond Inorganic CrystalsFormed in Linear ABC/ABC Blends, Macromolecules, 57 , 6681-6692 (2024).

(107)Q. S. Dong, Z. W. Xu, Q. L. Song, Y. C. Qiang, Y. Cao, Weihua Li*, Automated Search Strategy for Novel Ordered Structures of BlockCopolymers, ACS Macro Lett., 13 , 987-993 (2024).

(106) Z. Y. Zhang, L. Y. Li, Qingliang Song*, P. Li, Xianbo Huang*, Weihua Li*, Directed Self-Assembly of Binary AB/AB Diblock Copolymer Blends for Dense Nanopatterns with Density Multiplication, Macromolecules, 57 , 10,4878–4888 (2024).

(105) Q. S. Dong, L. Y. Li, Z. W. Xu, Weihua Li*, Useful strategy for assuming complex ordered phases possibly formed by ABC-type block copolymers, Phys. Rev. Mater., 8 , 2,025601 (2024).

(104) X. H. Hu, R. Zhang, X. H. Zhang, Z. Y. Wu, J. Zhou, Weihua Li*, Shisheng Xiong*, Focused solar annealing for block copolymer fast self-assembly, Heliyon, 10 , 2,e24016 (2024).

(103) L. Hou, Zhanwen Xu*, Weihua Li*, Stabilizing DG, DD, and DP Bicontinuous Network Phases in Pure AB-Type Block Copolymers beyond Relieving Packing Frustration, Macromolecules, 57 , 5,2165–2175 (2024).

(102) Z. W. Xu, Q. S. Dong, Weihua Li*, Architectural Design of Block Copolymers, Macromolecules, 57 , 5,1869–1884 (2024).

(101) L. Y. Li, Qingshu Dong*, Weihua Li*, Stabilize Various Novel Network Structures via the Alternate Arrangement of A/C Domains in Close Contact by Tailoring ABC Miktoarm Star Architectures, Macromolecules, 57 , 409?419 (2024).

(100) Y. Z. Xue, Q. L. Song, Mingjiang Zhong*, Weihua Li*, Hierarchically Structured Nanocomposites via Mixed-Graft Block Copolymer Templating: Achieving Controlled Nanostructure and Functionality, J. Am. Chem. Soc., 146 (1) , 567–577 (2024).

(99) Z. H. Gan, L. Y. Li, Weihua Li*, Xuehui Dong*, Rationally Leveraging Polymer Chain-Length Heterogeneity for Robust Structural Engineering, CCS Chem. (2024).

(98) D. Woo, L. Y. Li, Weihua Li*, Jin Kon Kim*, High-Density Packing of Spherical Microdomains from A(AB3)3 Dendron-like Miktoarm Star Copolymer, ACS Macro Lett., 13 , 1,8-13 (2024).

(97) Z. W. Xu, X. Chu, Weihua Li*, Microscopic Origins of the Distinct Mechanical Response of ABA and ABC Block Copolymer Nanostructures, ACS Macro Lett., 13 , 2,240–246 (2024).

(96) J. Y. Yang, Q. S. Dong, Xianbo Huang*, Weihua Li*, Transition Paths of Ordered Phases in a Diblock Copolymer under Cylindrical Confinement, Macromolecules, 56 , 10132?10142 (2023).

(95) H. Yoon, Q. S. Dong, Weihua Li*, Jin Kon Kim*, Co-existing morphologies of lamellae and double arrays of cylinders by A1BA2C tetrablock terpolymer, Giant, 16 , 100207 (2023).

(94) J. H. Shi, Xianbo Huang*, Weihua Li*, The impact of intramolecular polydispersity on the self-assembly of ABn miktoarm star copolymers, Phys. Chem. Chem. Phys., 25 , 20032–20041 (2023).

(93) K. R. Yuan, Z. W. Xu, Xianbo Huang*, Weihua Li*, Reexamine the emergence and stability of the square cylinder phase in block copolymers, Chem. Eur. J., 29 , e202301043 (2023).

(92) X. T. You, M. J. Liu, Qingshu Dong*, Weihua Li*, Stability of Hierarchical Gyroid Structures in Frustrated ABC Triblock Copolymers, Macromolecules, 56 , 8157?8167 (2023).

(91) H. Yoon, Q. S. Dong, Weihua Li*, Jin Kon Kim*, Tetragonally and Rectangularly Packed Hierarchical Cylinders from A1BA2C Tetrablock Terpolymer, Macromol Rapid Commun, 2300312 (2023).

(90) L. Y. Li, X. M. Jia, Q. S. Dong, Jiajia Zhou*, Weihua Li*, Thickness-Controlled Phase Transitions of AB Diblock Copolymers in Asymmetric Ultrathin Films, Macromolecules, 56 , 5932–5940 (2023).

(89) Q. L. Song, Q. S. Dong, R. Q. Liang, Y. Z. Xue, Mingjiang Zhong*, Weihua Li*, Hierarchical Self-Assembly of ABC-Type Bottlebrush Copolymers, Macromolecules, 56 , 5470–5481 (2023).

(88) Q. S. Dong, X. R. Gong, K. R. Yuan, Ying Jiang*, Liangshun Zhang*, Weihua Li*, Inverse Design of Complex Block Copolymers for Exotic Self-Assembled Structures Based on Bayesian Optimization, ACS Macro Lett., 12 , 401-407 (2023).

(87) L. Hou, Z. W. Xu, Weihua Li*, Largely Tunable Morphologies Self-Assembled by A(AB)n Miktoarm Star Copolymer in Solutions, Macromolecules, 56 , 3440–3453 (2023).

(86) W. P. He, F. Wang, Y. C. Qiang, Y. C. Pan, Weihua Li*, Meijiao Liu*, Asymmetric Binary Spherical Phases Self-Assembled by Mixing AB Diblock/ABC Triblock Copolymers, Macromolecules, 56 , 719-729 (2023).

(85) Z. W. Xu, Q. S. Dong, Liangshun Zhang*, Weihua Li*, Enhanced dielectric permittivity of hierarchically double-gyroid nanocomposites via macromolecular engineering of block copolymers, Nanoscale, 14 , 15275–15280 (2022).

(84) F. M. Zhao, Q. S. Dong, Q. Y. Li, M. J. Liu, Weihua Li*, Emergence and Stability of Exotic “Binary” HCP-Type Spherical Phase in Binary AB/AB Blends, Macromolecules, 55 , 10005–10013 (2022).

(83) L. X. Zhang, J. Y. Yang, Weihua Li*, Emergence of Multi-strand Helices from the Self-Assembly of AB-Type Multiblock Copolymer under Cylindrical Confinement, Macromolecules, 55 , 9334–9343 (2022).

(82) L. Y. Li, Z. W. Xu, Weihua Li*, Emergence of Connected Binary Spherical Structures from the Self-assembly of an AB2C Four-Arm Star Terpolymer, Macromolecules, 55 , 9890–9899 (2022).

(81) T. Y. Hu, Y. Z. Ren, Weihua Li*, Annihilation Kinetics of an Interacting 5/7-Dislocation Pair in the Hexagonal Cylinders of AB Diblock Copolymer, Macromolecules, 55 , 7583–7593 (2022).

(80) Q. Y. Li, D. k. Woo, J. K. Kim*, Weihua Li*, Truly “Inverted” Cylinders and Spheres Formed in the A(AB)3/AC Blends of B/C Hydrogen Bonding Interactions, Macromolecules, 55 , 6525-6535 (2022).

(79) X. H. Zhang, Weihua Li*, Periodic Patchy Spheres Self-Assembled by AmBCAn′ Multiblock Terpolymers, Langmuir, 38 , 4407-4414 (2022).

(78) J. Y. Yang, Q. S. Dong, M. J. Liu, Weihua Li*, Universality and Specificity in the Self-Assembly of Cylinder-Forming Block Copolymers under Cylindrical Confinement, Macromolecules, 55 , 2171–2181 (2022).

(77) Q. Xie, Y. C. Qiang, Weihua Li*, Single Gyroid Self-Assembled by Linear BABAB Pentablock Copolymer, ACS Macro Lett., 11 , 205–209 (2022).

(76) F. M. Zhao, Z. W. Xu, Weihua Li*, Self-Assembly of Asymmetric Diblock Copolymers under the Spherical Confinement , Macromolecules, 54 , 11351–11359 (2021).

(75) Q. Y. Li, Weihua Li*, Expanding Alternating Spherical and Cylindrical Regions by Tailoring Binary Symmetric ABC/ABC Blends, Macromolecules, 54 , 8622-8631 (2021).

(74) Q. L. Song, Q. S. Dong, X-H. Dong, Y-L. Zhu*, Weihua Li*, Self-Assembly Behaviors of Giant Amphiphiles Containing Cubic Cage-Like “Monomers”, Macromolecules, 54 , 8601-8611 (2021).

(73) H. Yoon, S. Ahn, Q. S. Dong, Q., C. Choi, E. Kim, K. Kim*, Weihua Li*, Multidomain Helical Nanostructure by A1BA2C Tetrablock Terpolymer Self-Assembly, ACS Macro Lett., 10 , 1119-1124 (2021).

(72) T. Y. Hu, Y. Z. Ren*, Weihua Li*, Impact of Molecular Asymmetry of Block Copolymers on the Stability of Defects in Aligned Lamellae, Macromolecules, 54 , 8024-8032 (2021).

(71) Y. Seo, D. Woo, L. Y. Li, K. Kim*, Weihua Li*, Phase Behavior of Ps-(Ps-B-P2vp)3 Miktoarm Star Copolymer, Macromolecules, 54 , 7822-7829 (2021).

(70) L. Y. Li, Weihua Li*, Effect of branching architecture on the self-assembly of symmetric ABC-type block terpolymers, Giant, 100065 (2021).

(69) Weihua Li*, X. Y. Gu, Square Patterns Formed from The Directed Self-Assembly of Block Copolymers, Mol. Syst. Des. Eng., Doi: 10.1039/d0me00168f.

(68) 李卫华, 桥连对嵌段共聚物自组装的调控, 化学学报, 79 , 133-138 (2021).

(67) Y. Seo, S. Y. Park, J. Lee, J. K. Kim*, C. Duan, Weihua Li*, Inverted Cylindrical Microdomains by Blending Star-Shaped and Linear Block Copolymers, Macromolecules, 54 , 629-636 (2021).

(66) T. Y. Hu, Y. Z. Ren*, L. S. Zhang, Weihua Li*, Impact of Architecture of Symmetric Block Copolymers on the Stability of a Dislocation Defect, Macromolecules, 54 , 773-782 (2021).

(65) Q. S. Dong, Weihua Li*, Effect of Molecular Asymmetry on the Formation of Asymmetric Nanostructures in ABC-Type Block Copolymers, Macromolecules, 54 , 203-213 (2021).

(64) C. C. Li, Q. S. Dong, Weihua Li*, Largely Tunable Asymmetry of Phase Diagrams of A(AB)n Miktoarm Star Copolymer, Macromolecules, 53 , 10907-10917 (2020).

(63) Y. C. Qiang, Weihua Li*, Accelerated Pseudo-spectral Method of Self-Consistent Field Theory via Crystallographic Fast Fourier Transform, Macromolecules, 53 , 9943-9952 (2020).

(62) Xueying Gu, Weihua Li*, Impact of Thin-Film Confinement on the Packing of Low-Coordinate Spheres in Bulk, Macromolecules, 53 , 9131-9141 (2020).

(61) Xianwen Ji, Weihua Li*, Effect of chain architectures on the domain spacing of block copolymers with equivalent segregation degrees, Phys. Chem. Chem. Phys. 22 , 17824-17832 (2020).

(60) Qiong Xie, Yicheng Qiang, Guojie Zhang*, Weihua Li*, Emergence and Stability of Janus-Like Superstructures in an ABCA Linear Tetrablock Copolymer, Macromolecules https://doi.org/10.1021/acs.macromol.0c01328 (2020).

(59) Qiong Xie, Yicheng Qiang, Lei Chen, Yueming Xia, Weihua Li*, Synergistic Effect of Stretched Bridging Block and Released Packing Frustration Leads to Exotic Nanostructures, ACS Macro Lett. 9 , 980–984 (2020).

(58) Yicheng Qiang, Weihua Li*, An-Chang Shi*,Stabilizing Phases of Block Copolymers with Gigantic Spheres via Designed Chain Architectures, ACS Macro Lett. 9 (5), 668-673 (2020).

(57) Qiong Xie, Yicheng Qiang, Weihua Li*, Regulate the Stability of Gyroids of ABC-Type Multiblock Copolymers by Controlling the Packing Frustration, ACS Macro Lett. 9 (2), 278-283 (2020).

(56) M. J. Liu, K. Chen, Weihua Li*, X. P. Wang, Tunable Helical Structures Formed by ABC Triblock Copolymers Under Cylindrical Confinement, Phys. Chem. Chem. Phys. 21, 26333-26341 (2019).

(55) S. Ahn, Y. Seo, J. K. Kim*, C. Duan, L. X. Zhang, Weihua Li*, Cylindrical to lamellar microdomain transition upon heating for a linear tetrablock copolymer with upper critical ordering transition, Macromolecules. 52, 9039-9044 (2019).

(54) Wenfeng Zhao, Weihua Li*, Hybrid patterns from directed self-assembly of diblock copolymers by chemical patterns, Phys.Chem.Chem.Phys. 21, 18525-18532 (2019).

(53) Wenfeng Zhao, Chao Duan, Weihua Li*, Hybrid line–dot nanopatterns from directed self-assembly of diblock copolymers by trenches, Phys.Chem.Chem.Phys. 21, 10011-10021 (2019).

(52) Qi Zhang, Yicheng Qiang, Chao Duan, Weihua Li*, Single Helix Self-Assembled by Frustrated ABC2 Branched Terpolymers, Macromolecules 52, 2748-2758 (2019).

(51) Tao Yang, Haiyan Xue, Ruifang Cao, Weihua Li*, Formation of homochiral helical nanostructures in diblock copolymers under the confinement of nanopores, Phys.Chem.Chem.Phys. 21, 7067-7074 (2019).

(50) Yueming Xia, Weihua Li*, Defect-free hexagonal patterns formed by AB diblock copolymers under triangular confinement, Polymer 166, 21-26 (2019).

(49) Mingtian Zhao, Weihua Li*, Laves Phases Formed in the Binary Blend of AB4 Miktoarm Star Copolymer and A-Homopolymer, Macromolecules 52 (4), 1832–1842 (2019).

(48) Lei Chen, Yicheng Qiang, Weihua Li*, Tuning Arm Architecture Leads to Unusual Phase Behaviors in a (BAB)5 Star Copolymer Melt, Macromolecules 51, 9890-9900 (2018).

(47) C. Duan, M. T. Zhao, Y. C. Qiang, Weihua Li*, F. Qiu, A. C. Shi, Stability of Two-Dimensional Dodecagonal Quasicrystalline Phase of Block Copolymers, Macromolecules 51, 7713-7721 (2018).

(46) S. Ahn, J. K. Kim*, B. Zhao, C. Duan, Weihua Li*, Morphology Transitions of Linear A1B1A2B2 Tetrablock Copolymers at Symmetric Overall Volume Fraction, Macromolecules 51, 4415-4421 (2018).

(45) W. B. Jiang, Y. C. Qiang, Weihua Li*, F. Qiu, A. C. Shi, Effects of Chain Topology on the Self-Assembly of AB-Type Block Copolymers, Macromolecules 51, 1529-1538 (2018).

(44) B. Zhao, W. B. Jiang, L. Chen, Weihua Li*, F. Qiu, A. C. Shi, Emergence and Stability of a Hybrid Lamella–Sphere Structure from Linear ABAB Tetrablock Copolymers, ACS Macro Lett. 7, 95-99 (2018).

(43) Weihua Li*, C. Duan, A. C. Shi, Nonclassical Spherical Packing Phases Self-Assembled from AB-Type Block Copolymers,ACS Macro Lett. 6, 1257-1262 (2017).

(42) W. B. Jiang, Y. C. Qiang, M. J. Liu, Weihua Li*, F. Qiu, A. C. Shi, Tetragonal Phase of Cylinders Self-assembled From Binary Blends of AB Diblock and (A'B)n Star Copolymers, Phys. Chem. Chem. Phys. 19, 25754-25763 (2017).

(41) M. J. Liu, Weihua Li*, X. P. Wang, Order-order transitions of diblock copolymer melts under cylindrical confinement, J. Chem. Phys., 147,114903 (2017).

(40) X. M. Wang, Y. Shao, Weihua Li*, Precision Synthesis and Distinct Assembly of Double-Chain Giant Surfactant Regioisomers, Macromolecules 50, 3943-3953 (2017).

(39) H. L. Deng, Weihua Li*, F. Qiu, A. C. Shi, Self-Assembled Morphologies of Linear and Miktoarm Star Triblock Copolymer Monolayers, J. Phys. Chem. B, 121, 4642-4649 (2017).

(38) C.Duan, Weihua Li*, F. Qiu, A. C. Shi*,Planet-Satellite Micellar Superstructures Formed by ABCB Terpolymers in Solution, ACS Macro Lett. 6, 257-261 (2017).

(37) T. Yang*, S.W.Tian, Y.Zhu,Weihua Li*,Perfectly Ordered Patterns Formed by a Heterogeneous nucleation Process of Block Copolymer Self-assembly Under Rectangular Confinement, Langmuir. 32, 13787-13794 (2016).

(36) M. J. Liu, Y. C. Qiang, Weihua Li*, F. Qiu, A. C. Shi*, Stabilizing the Frank-Kasper phases via binary blends of AB diblock copolymers, ACS Macro Lett. 5, 1167-1171 (2016).

(35) Weihua Li, M. Müller*, Thermodynamics and kinetics of defect motion and annihilation in the self-assembly of lamellar diblock copolymers, Macromolecules 49, 6126-6138 (2016).

(34) M. J. Liu, Weihua Li*, F. Qiu, A. C. Shi*, Stability of the Frank-Kasper σ-phase in BABC linear tetrablock terpolymers, Soft Matter, 12, 6412-6421 (2016).

(33) H. L. Deng, Y. C. Qiang, T. T. Zhang, Weihua Li*, T. Yang*, Chiral selection of single helix formed by diblock copolymers confined in nanopores, Nanoscale 8, 15961-15969 (2016).

(32) Y. Gao, H. L. Deng, Weihua Li*, F. Qiu, A. C. Shi, Formation of nonclassical ordered phases of AB-type multiarm block copolymers, Phys. Rev. Lett. 116, 068304 (2016).

(31) Weihua Li*, M. Müller*, Directed self-assembly of block copolymers:optimizing molecular architecture, thin-film properties, and kinetics, Prog. Polym. Sci. 54-55, 47-75 (2016).

(30) H. L. Deng, N. Xie, Weihua Li*, F. Qiu, A. C. Shi, Perfectly Ordered Patterns via Corner-Induced Heterogeneous Nucleation of Self-Assembling Block Copolymers Confined in Hexagonal Potential Wells, Macromolecules 48, 4174-4182 (2015).

(29) M. J. Liu, B. K. Xia, Weihua Li*, F. Qiu, A. C. Shi, Self-assembly of binary mesocrystals from blends of BABCB multiblock copolymers and ABC triblock copolymers, Macromolecules 48, 3386—3394(2015).

(28) Weihua Li, M. Müller*, Defects in the Self-Assembly of Block Copolymers and Their Relevance for Directed Self-Assembly, Annu. Rev. Chem. Biomol. Eng. 6, 187—216(2015).

(27) T. T. Zhang, H. L. Deng, T. Yang*, Weihua Li*, Defective morphologies kinetically formed in diblock copolymers under the cylindrical confinement, Polymer 65, 168 (2015).

(26) Weihua Li, P. F. Nealey, J. J. de Pablo, M. Müller*, Defect removal in the course of directed self-assembly is facilitated in the vicinity of the order-disorder transition, Phys. Rev. Lett. 113, 168301 (2014).

(25) N. Xie, Weihua Li*, F. Qiu, A. C. Shi, σ phase Formed in conformationally asymmetric AB-type block copolymers, ACS Macro Lett. 3, 906 (2014).

(24) N. Xie, M. J. Liu, H. L. Deng, Weihua Li*, F. Qiu, A. C. Shi, Macromolecular Metallurgy of Binary Mesocrystals via Designed Multiblock Terpolymers, J. Am. Chem. Soc., 136, 2974-2977(2014).【点击查看更多】

(23) N. Xie, Weihua Li*, H. D. Zhang, F. Qiu, A. C. Shi, Kinetics of lamellar formation on sparsely stripped patterns, J. Chem. Phys., 139,194903(2013).

(22) B. K. Xia, Weihua Li*, F. Qiu*, 对称AB 两嵌段共聚物在均聚物C 中的自组装, Acta Chim. Sinica, 72, 30—34(2014).

Baidu
map