编者荐语:
本次推荐的是我院社会学系刘欣教授发表于《社会学研究》2021年第4期的文章《英才之路:通往转型社会二元精英地位的双重路径》。
原文链接:http://shxyj.ajcass.org/Magazine/Show?id=77975
英才之路:通往转型社会二元精英地位的双重路径
《社会学研究》2021年第4期
摘要
以产权制度及其与国家间关系以及相应的协调机制为基础,转型社会里形成了权威型支配和市场型支配,以及在此双重分层秩序中居于支配地位的公职精英和市场精英。在成员遴选上,公职精英以价值理性为引导,更有可能以政治忠诚为基本资格,具有一定程度的闭合性;市场精英则以效用最大化的工具理性为引导,更有可能以普遍主义的绩效能力为基本资格,具有较高程度的开放性。忠诚者更有可能通过赞助性流动获得公职精英地位,市场能力突出者则更有可能通过竞争性流动获得市场精英地位,由此形成了双重路径。本文用离散时间事件史分析CGSS2008资料的结果支持了基于上述论辩的假设。
转型社会的支配结构变化和新精英阶层的出现,对社会学建构精英类型学、发展精英地位获得理论,提出了挑战性的问题。在计划经济时期,公有部门的比重占绝大部分,在社会的政治经济秩序中形成了以行政权力为轴心的支配结构,精英阶层主要存在于公有部门。改革开放后,非公有部门的比重及其从业人员不断增长。在非公有部门里形成了一种新的支配结构,成长出一批居于支配地位的精英人士。在当前中国转型社会里,如何结合制度背景,用学理化的方式对精英进行类型化?不同类型精英的地位获得路径是否有差异?这些问题极具理论挑战性。与基于新阶层理论(Konrád & Szelenyi,1979;Szelenyi,1978)的党政管理人员—专业技术人员二元精英地位获得的二元路径模型(Walder,1995;Walder et al.,2000)不同,本文试图基于转型社会二元分层体系论断(刘欣,2005,2007,2018),提出“公职精英—市场精英”二元精英地位及其地位获得的双重路径命题,回应前述问题。
精英的权力来源于社会的支配结构。转型社会二元分层体系论断认为,在转型社会里,产权(包括经济资产和人力资本产权)及其与国家之间的关系以及相应的协调机制构成了阶层分化的制度基础。一方面,国家在一定程度上内在于产权,包括处置权(或转让权)、控制权(或使用权)、剩余(或收入)支配权等,例如在国有或国有控股部门中,国家在行政性委托代理经营模式中参与产权实施。另一方面,国家也在一定程度上外在于产权。举例来说,在私有或私有控股部门里,国家界定并保护私有产权不受侵犯,是产权实施的外在监督者。与产权制度及其与国家之间的关系相适应,行政协调在公有部门里占主导地位,而市场协调则在非公有部门里占主导地位。与两种协调机制相应,形成了权威型支配—服从结构和市场型支配—服从结构。在这两种支配结构里,分别形成了由支配者阶层、中间阶层和被支配者阶层构成的双重分层体系。公职精英、市场精英就是在此双重分层体系里,分别在权威型支配—服从结构和市场型支配—服从结构中居于支配地位的阶层。公职精英阶层在成员遴选上以价值理性为引导,更有可能以政治忠诚为基本资格,因而也就有一定程度的闭合性;市场精英阶层在成员遴选上则以效用最大化的工具理性为引导,更有可能以普遍主义的绩效能力为基本资格,具有相对较高程度的开放性。政治忠诚者更有可能通过赞助性流动获得公职精英地位,市场能力突出者则更有可能通过竞争性流动获得市场精英地位,由此形成了精英地位获得的双重路径。
笔者将结合中国转型社会的制度背景,通过整合封闭性与开放性社会关系(韦伯,2010)、赞助性与竞争性社会流动概念(Turner,1960)来揭示公职—市场精英阶层地位的特征,分析公职—市场精英地位获得的社会流动模式差异,阐明新二元精英类型学及其双重获得路径命题的理论逻辑。在此基础上,进一步通过对数据资料的实证分析,呈现这两类精英阶层的构成,并借助离散时间的事件史模型检验关于两类精英地位获得的社会流动模式的研究假设。
一、转型社会的公职—市场精英地位及其构成
在学界对社会主义精英阶层的认识中,较具代表性的是党政管理人员—专业技术人员的二元精英划分(Konrád & Szelenyi,1979;Szelenyi,1978)及其地位获得的二元路径模型(Walder,1995;Walder et al.,2000)。其基本观点是以计划经济体制为制度前提,认为在计划经济体制下存在着权力基础不同的党政管理精英和专业技术精英,前者以意识形态知识和组织管理能力为基础,后者则以专业知识和技术为基础。二者表现出不同的地位获得路径,前者基于政治甄选,后者基于教育资格,共同构成了政治经济秩序的支配力量。
然而,面对转型社会支配结构的新格局,党政管理精英—专业技术精英类型学和相应的二元路径模型都受到了挑战。其精英分类并不涉及所有制部门分割,所关注的精英权力的基础不是经济资产产权,而是其知识基础。在转型经济里,作为新阶层理论前提的制度安排已发生变化,形成了不同于计划经济时期的社会经济生活的支配结构。在公有部门里,以计划方式配置资源的情况虽仍然存在,但在非垄断行业中已在较大程度上通过市场机制进行资源配置。在私有部门里,市场则在资源配置中起主导作用。因此,新阶层理论所预设的制度前提充其量在公有部门里还在一定程度上存在,但是在私有部门里,该理论的逻辑前提就不成立了。假如我们非要将该理论的类型学用于转型社会,考虑所有制部门后,我们可以得到四种类型,即公有部门管理精英、公有部门专业技术精英、市场部门管理精英与市场部门专业技术精英(刘欣、李婪,2013)。这种划分不仅在理论逻辑上没有根据(私有部门的管理精英的权力基础并非意识形态知识或政治忠诚),也无法涵盖现实中的一些精英类型(比如,大型私有企业的股东或所有者不是受雇的管理者,而是依靠经济资本这一生产要素分享收益的投资者)。因此,本文试图另辟蹊径,突破党政管理精英—专业技术精英类型学的新阶层理论思路,以已有的转型社会二元分层体系论断为前提,将精英类型学奠定在产权制度及其与国家权力之间的关系以及相应的协调机制基础上,提出精英的新分类并阐明不同精英地位获得机制的差异,而不是通过在党政管理人员—专业技术人员基础上增加新类型(比如经济精英)来扩展其类型学并沿用其二元路径论去解释精英地位获得。
前人研究在建构适合中国转型社会的理论化的精英类型学、形成关于精英地位获得的新理论方面做了有价值的探讨,但相关议题依然有待更深入的理论化探讨。有关研究者在揭示精英地位获得机制的所有制部门差异、对中产阶层或精英阶层进行划分时,使用了一系列概念类型,诸如党政领导干部、国有企业总经理、非国有企业总经理(Bian et al.,2001),内源中产与外生中产(李路路、李升,2007),行政干部精英、技术干部精英与专业技术精英(郑辉、李路路,2009),公职新中产与市场新中产(刘欣、朱妍,2011),体制内与体制外中产阶级/阶层(李春玲,2017;孙龙,2010),党政精英、技术精英与市场精英(吕鹏、范晓光,2016),农村工资劳动者、私营企业主或个体户、农村干部精英(吴愈晓,2010),等等,均对进一步建构转型社会精英阶层的理论化的类型学和形成新的理论解释具有启发性。
笔者认为,转型社会阶层分化的制度基础并非单一的某一种制度,而是一组制度安排。产权及其与国家权力之间的关系以及相应的协调机制包括:(1)可分割的产权权利束;(2)国家与产权之间的关系(国家内在于或外在于产权);(3)与前两种制度安排相适应的协调机制。在相应的产权制度及其与国家权力的关系下,协调机制对支配结构进而对具体阶层位置的确定起着重要的制度衔接作用。本文通过对协调机制的分析,来阐明两类分层体系中阶层关系和相应的精英阶层地位的特征。
协调机制指的是社会成员或组织的活动的协调方式(Kornai,1992:91)。在转型社会里,行政和市场是两种主要的协调机制(Kornai,2016;Lane,2014;刘欣,2018)。前者与公有产权有亲和关系,后者则与私有产权有亲和关系(Kornai,1992:103、365-368)。
在行政协调起主导作用的社会关系中,协调者与被协调者之间形成了多层级的权威型支配—服从结构(刘欣,2018)。公职精英指的是在公有部门的权威型支配—服从关系中处于中高层地位的支配者。在市场协调起主导作用的社会关系中,协调者与被协调者之间据市场交易规则自愿达成契约而形成多层级的市场型支配—服从关系。市场精英指的是在私有部门的市场型支配—服从关系中处于中高层地位的支配者。这两类精英的共同特点是在支配—服从的阶层关系中居于较高层次的支配者地位。然而,这两类精英地位却有着不同的结构特征,前者具有一定程度的闭合性,后者则具有一定程度的开放性。笔者结合转型社会的制度背景,通过拓新韦伯的开放性社会关系与封闭性社会关系概念,来勾画出两类精英阶层的地位特征。
开放性社会关系指的是“一种社会关系……只要其秩序体系不排斥任何想加入者的参与(通常这些人实际上也有能力就此加入),便可称作是对外‘开放的’”(韦伯,2010: 80)。市场关系通常是开放性的(韦伯,2010: 81)。由于任何愿意并有能力加入的人都可以加入,因此,由这种开放性的社会关系所确定的阶层地位也具有开放性。这意味着开放性的阶层地位的成员资格是普遍主义的,因为参与意愿和能力对任何人来说,都可以采用相同的标准或规则。
封闭的社会关系“根据行动者主观意义和具约束力的规则,使特定人的参与被排除、限制或限定于某些条件”,从而保证符合条件的群体成员的独占利益,为参与者提供“精神上和物质上利益满足的机会”(韦伯,2010: 80)。由封闭社会关系确定的阶层地位具有闭合性的特征,成员资格是特殊主义的。对于具有闭合性特征的阶层而言,一些人虽然愿意参加也有能力参加,却因为不具备某些特定资格而无法参加。譬如,并非任何一个愿意并有组织领导能力的人都能成为党组织的领导,因为它以党员身份为必需资格。然而,在封闭性社会关系中,团体成员所占有的利益可以开放给内部成员自由竞争(韦伯,2010: 80)。
社会关系的封闭与开放程度是相对的,在典型的封闭与开放之间可以有许多程度不同的过渡(韦伯,2010: 82)。相应地,阶层地位的闭合性程度或开放性程度也是一个相对的概念。完全闭合或完全开放的社会地位都是极端情形。在现实生活中,我们能观察到的都是在一定程度上具有闭合性或开放性的阶层地位。但无论开放还是封闭的社会关系,都是由价值理性或目的理性所决定的(韦伯,2010: 81)。
在转型社会中,在以私有产权或可自由交易产权为基础的市场协调机制的作用下,交易双方自愿达成契约,价格、成本和收益核算对交易关系达成发挥主要作用(Kornai,1992:92)。这样的市场交易由经济效用最大化的理性目的所引导。只要能够达到效用最大化,任何自愿并有能力参与的交易者,皆有资格依绩效能力原则参与竞争。凭借基于经济资产或人力资本的市场能力,参与者在市场交易中遵从绩效能力原则相互竞争,而不是像在封闭性社会关系中那样被非市场因素限制着参与资格。因此,市场精英资格主要取决于普遍主义的市场能力。市场能力指的是个人可以带进讨价还价交涉中的任何形式的有关属性,它以人们所占有的财产、所拥有的教育、技术和劳动力为基础(Giddens,1973)。在转型经济中,市场能力表现为人们通过市场把自己所拥有的对资本、技术、管理、劳动等要素的转让权、控制权和收入支配权付诸实际交易的能力,它决定了人们在市场交易竞争中的讨价还价能力,进而决定其在市场型支配—服从关系中的地位。拥有不同市场能力的参与者之间所形成的市场型支配—服从关系是开放性的,由这样的社会关系所确定的阶层地位也具有开放性特征。
与市场协调机发挥主导作用的情形不同,在行政协调起主导作用的部门里,所形成的社会关系和相应的阶层地位则具有相对封闭的特征。在行政协调机制主导下,参与者之间形成了多层级的社会关系,即多层级的权威型支配—服从关系(刘欣,2018)。在这种社会关系中,党的领导和民主集中制是基本原则,下级由上级任命并需服从上级(Kornai,1992: 31-36、91-92)。价值理性在这种纵向社会关系形成中具有决定性的作用。坚持党的领导和社会主义制度优越性是参与者的行动的价值理性所在。参与者需紧跟政治路线,忠于组织,贯彻、执行组织通过的各项决议,才有可能被任用(Kornai,1992: 57-59)。因此,由这样的社会关系所确定的成员资格,并非基于普遍主义的绩效能力原则,而是基于特殊主义的政治忠诚原则。公职精英需具备特殊的资格,“主要标准是政治上是否可靠、忠诚……这方面的衡量比个人能力和专业水准重要得多。一旦政治上有疑问,如不够忠诚、不可靠或不听从指挥,那么即使能力再强或专业水准再高也不能任用”(Kornai,1992: 57-58)。
显然,在转型社会里,在公有部门和私有部门中分别存在着两种不同的分层体系,以及相应的权力来源不同的精英阶层,即公职精英与市场精英。前者主要包括在行政协调占据主导地位的行政型支配—服从关系中的党政事业单位的中高层领导干部、国有(控股)或集体(控股)企业中层及以上管理人员、公有部门中有管理职务的专业技术人员等。后者主要包括在市场协调占据主导地位的市场型支配—服从关系中的私营企业主、大型私营企业的中高级管理人员、民营事业单位或组织的负责人、大型民营事业单位或组织的中高级管理人员、民营企事业单位或组织中有管理职务的专业技术人员等。笔者(刘欣、李婪,2013)在前期研究中曾在党政管理精英—专业精英二分类基础上考虑所有制部门差异,将精英区分为公有部门管理精英、公有部门专业技术精英、市场部门管理精英、市场部门专业技术精英,进而提出转型社会里在公有部门和非公有部门里存在二元支配结构(或二元分层体系)。本研究舍弃党政管理精英—专业技术精英的区分维度,扩展了笔者此前提出的“公职新中产”“市场新中产”类型学(刘欣、朱妍,2011),从而将上述四种类型简化为“公职精英”与“市场精英”。
公职精英与市场精英的阶层地位在开放性程度(高/低)、成员资格(普遍主义/特殊主义)上表现出不同的特征。公职精英地位在成员遴选上虽然对能力也有较高的要求,但更有可能以具有特殊性质的政治忠诚作为基本资格,其开放性程度因而相对较低。市场精英地位在成员遴选上更注重把普遍主义的绩效能力作为基本资格,其开放性程度则相对较高。二者对精英候选人资格要求的不同,表现为社会成员与精英地位匹配过程的差异。
二、赞助性流动、竞争性流动与精英地位获得
由于阶层地位是独立于个人并有相应的权力和资源与之相匹配的结构性社会位置(Sorensen,1991),社会成员需要通过制度化的方式占据阶层地位,才能获得与这些地位相应的权力和资源。具备一定资格的社会成员通过社会流动与阶层地位匹配起来,获得阶层地位以及与之相应的权力和资源(Grusky & Ku,2008)。正如熊彼特(Schumpeter,1953)在描述个人与职业位置间关系时所比喻的那样,职业结构可以看作是“一个酒店……它总是被人们居住着,但却是由不同的人居住的” (转引自Grusky & Ku,2008: 5)。
在转型社会里,公职精英与市场精英有着不同的地位获得路径。一方面,在具有一定程度的封闭性的权威型支配—服从阶层关系中,政治忠诚者更有可能通过赞助性社会流动获得公职精英地位。另一方面,在具有一定程度的开放性的市场型支配—服从阶层关系中,市场能力突出者更有可能通过竞争性社会流动获得市场精英地位。双重路径的含义在于,获得两种精英地位的模式是两种不相同的社会流动模式。社会成员匹配到两类精英地位所需的资格是不同的,这些资格发挥作用的机制也是不相同的。公职精英地位的获得更具有赞助性流动色彩,而市场精英地位的获得更具有竞争性流动的色彩,二者之间形成了较鲜明的对照。
笔者在上文关于开放性阶层地位与闭合性阶层地位概念的基础上,进一步结合特纳(Turner,1960)的竞争性流动与赞助性流动模式,来阐明转型社会的精英地位获得的机制,并提出一组研究假设。
(一)赞助性社会流动与公职精英地位获得
在赞助性流动中,精英地位不可以通过公开竞争获得;精英阶层地位类似私人俱乐部,候选人必须在既有精英成员的培养和“赞助”下才有可能进入精英阶层;候选人须符合某些设定的资格,且这些资格无法用努力或能力去替代(Turner,1960)。既然公职精英的成员资格并非普遍主义的绩效能力,而是特殊主义政治忠诚,那么政治忠诚者更有可能得到组织和既有公职精英的培养,在他们的赞助下成为新成员,而党员身份可以作为政治忠诚的一个衡量指标(Walder,1995;Walder et al.,2000;Bian et al.,2001)。因此,在公有部门党管人事的制度安排下(Bian & Logan,1996;Lane,2014;Ma,2012;Qian & Wu,2008;Zhu & Tam,2019),党员身份在各个时期成为公职精英的可能性都会增大。于是得到以下假设:
假设1:党员较非党员在改革前后都更有可能成为公职精英。
由于在封闭性社会关系中团体成员所占有的利益可以开放给内部成员自由竞争(韦伯,2010: 80),因此,政治忠诚程度相同的成员在走向精英地位的过程中也充满竞争。已有的研究发现,高教育程度有助于成为党政管理精英(Bian et al.,2001;Li & Walder,2001;Nee & Cao,2002),并认为这既可能是因高教育程度者稀缺所导致的(Walder et al.,2000),也可能是市场发育对能力偏爱的体现(Ma,2012;Zhao & Zhou,2004;吴愈晓,2010)。笔者认为,在中等教育的普及和高等教育扩张后,高教育程度者稀缺导致的可能性并不大。教育程度的重要性体现了在众多政治忠诚者之间的内部竞争,因此,在行政协调起主导作用的公有部门里,在政治忠诚程度相同的情形下,由教育程度衡量的能力日益成为公职精英地位获得的促成因素。
假设2a:教育程度越高越有可能成为公职精英。
假设2b:高等教育程度对成为公职精英的效应随着改革阶段推进呈逐渐增大趋势。
在赞助性流动中,候选人是在既有精英成员的赞助下进入精英阶层的。既有精英通过对候选人进行教育训练,使之获得担当精英的能力,进而成为精英(Turner,1960)。在中国转型社会的公有部门里,党员身份不但是政治忠诚的标志,还意味着对意识形态的高度认同。因此,上级或组织从中物色候选人进行培养,具有政治正确的合法性。已有的关于中国党政管理精英晋升机会的研究发现,党员身份有助于获得成人教育机会进而获得升职(Li & Walder,2001)。笔者认为,这一基本逻辑也适用于公有部门党政精英之外的其他精英选拔。党员更有可能被上级或组织选送到党校或其他教育机构接受培训,进而获得晋升。
假设3:党员更有可能获得赞助性教育培训。
假设4:经历过赞助性教育培训者更有可能成为公职精英。
在已有的关于中国精英地位获得的模型中,父辈党员、教育程度或职业地位主要是作为控制变量出现的(Walder,1995;Walder et al.,2000;Li & Walder,2001),没能从赞助性社会流动的角度予以讨论。笔者认为,由于在赞助性社会流动中,精英阶层地位是在既有精英成员的赞助下进入的,因此,父辈如果是闭合性精英阶层的成员,或者具备闭合性精英地位的准入资格,将更有可能为子女进入其所在的精英阶层提供机会。相反,由于在竞争性社会流动中,精英阶层地位是通过公开竞争获得的,而竞争的成败取决于参与竞争者本人的努力和能力。在这种情形下,父辈如果是开放性精英阶层的成员,对子女进入其所在阶层的作用就很有限。由此得到如下假设。
假设5:与非党员相比,父亲的党员身份能提高子女获得赞助性教育培训的机会。
假设6:与中产以下阶层相比,父亲为公职中产及以上阶层地位能提高子女获得赞助性教育培训机会。
(二)竞争性流动与市场精英地位获得
在竞争性社会流动中,精英阶层地位是可以通过公开竞争而获得的奖励,有志者依靠自己的努力和能力获得精英地位;参与竞争者受到相同竞争规则的约束,他们对自己在竞争中所采取的策略有着很大的自由度;在竞争中的任何时刻给予任何竞争参与者优势条件都有悖于公开竞争的原则(Turner,1960)。
在转型社会里,结合前文已经讨论的市场精英地位的开放性特征可以推知,市场精英地位的获得是一个据普遍主义的绩效能力原则而公开竞争的过程,个人所具有的能力决定其能否最终获得市场精英地位。由于教育程度可以作为市场能力或人力资本的一个测量指标(Ma,2012;Nee,1989,1992;Zhao & Zhou,2004),可以得到以下假设。
假设7a:教育程度越高越有可能成为市场精英。
不仅如此,随着私有部门的扩张和市场机制的发育,市场能力的重要程度还会日益提升,因此可以得到如下假设。
假设7b:教育程度对成为市场精英的效应,在改革深化期较改革早期更大。
三、研究设计
(一)离散时间的事件史分析
由于精英阶层地位的获得是动态的过程,本文使用纵向研究设计来考察党员身份、教育培训等因素对精英地位获得的效应,所使用的具体方法是离散时间的事件史分析。在精英地位获得模型中,以首次获得精英阶层地位为事件。在赞助性教育培训机会获得模型中,以赞助性教育培训(参加了由单位负担学费的在职学习或接受了单位或政府资助的职业培训)为事件。由于是否获得了精英阶层地位、入党与否、是否接受了赞助性教育培训等为时变变量,为了进行离散时间事件史分析,笔者将数据重构为1949-2008年这60个年份的人年纵向数据,这样就可以在一个由自然年份构成的观察窗口内考察时序不同的变量之间的关系,避免因果时序颠倒问题。此外,这种重构的纵向人年数据,在统计分析时,还将所有时变变量转变成了非时变变量进行处理(Allison,2014)。使用离散时间的事件史分析方法很好地满足了本文研究的需要。
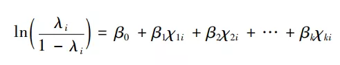
用离散时间的事件史分析转换后的资料时,在精英地位获得模型中,以首次获得精英(公职精英或市场精英)地位的年度为删截时点(右删截);在赞助性培训模型中,则以最近一次参加赞助性教育培训年度为删截时点(右删截)。离散时间的事件史分析模型可以表示为:

其中:λi为个体在时间ti发生事件yi的概率,又称为风险率(hazard rate),即γi=P(yit=1|T=ti);1-λi则是个体在时间ti未发生事件yi的概率,即(1-λi)=P(yit=0|T=ti);λi/(1-λi)为风险发生比(odds ratio)。模型中的参数β0,β1,…βk,可以用logit极大似然法来估计。模型的拟合优度可以用似然比卡方值来衡量。
模型的指数形式为:

在指数模型中,exp(β)代表了风险发生比,该值减1后再乘以100,就能得到相应的自变量增加1个单位所预测的事件yi的发生机会所增加的百分比。
为了考察变化趋势,笔者对公职精英模型分改革前、改革早中期、改革深化期三个时期分别进行估计。因改革前的计划经济时期不存在市场精英,因此,对市场精英模型分改革早中期、改革深化期两个时期分别进行估计。
(二)资料与变量
本文使用中国人民大学中国调查与数据中心发布的2008年度“中国综合社会调查”(以下简称CGSS2008)数据。该年度的调查详细询问了被访人的工作史、教育和培训经历、入党时间、14岁时父母就业情况等,这些信息满足了本文事件史分析的需要。国内已发布的其他资料虽截止年份更近,但却缺少事件史分析所需要的变量信息,尤其缺少教育培训及其费用来源的信息,所以无法用于本研究。CGSS2008使用PPS抽样,样本覆盖了中国大陆地区的20个省、4个直辖市和4个自治区,2008年度的总样本量6000人。本文将1949年及以后参加工作者作为研究样本,有效样本量为5892人,但因各研究变量的缺失值不同,不同模型中的样本量可能会略有差异。
结果变量包括:(1)在精英地位获得模型中,所关注的事件是是否获得精英地位以及获得哪种精英地位。笔者据CGSS2008中调查对象的工作史信息,首先使用刘欣(2018)的阶层分析框架对阶层进行划分,进而将阶层地位分为符合本文研究目的的三类,即公职精英、市场精英和非精英。公职精英、市场精英的构成前文已述。(2)在赞助性教育培训获得机会模型中,根据调查对象在职学习和培训信息,生成赞助性教育培训虚拟变量。赞助性教育培训指的是单位担负全部或部分费用的在职培训,而无论是否以获得学历为目标,1表示获得赞助性教育培训,0表示没有获得。
自变量包括:(1)本人党员身份,虚拟变量,1代表是中共党员,0代表不是中共党员。党员身份为时变变量,但将数据整理为人年数据后,转变为非时变变量。(2)本人教育程度,区分为初中及以下、高中及中专(技校)、大专及以上三个层次。参加工作前的最高教育程度作为非时变变量处理,但参加工作后作为时变变量来处理。在具体的资料分析技术中,由于将数据整理成人年数据后,教育培训变量在模型中同样可以作为非时变变量来处理。(3)父亲党员身份,虚拟变量,1表示是中共党员,0表示不是中共党员。(4)父亲教育程度,虚拟变量,1表示高中及以上,0表示初中及以下。(5)父亲阶层地位,包括公职中产及以上阶层、市场中产及以上阶层和劳工阶层三类。父亲的党员身份、教育程度、阶层地位均作为非时变变量处理。(6)获得精英阶层地位的时期划分为三个时期:改革前(1949-1977年);改革早中期(1978-2000年),始于中共十一届三中全会召开,止于加入世贸组织(WTO)之前;改革深化期(2001-2008年),始于加入世贸组织,止于CGSS2008收集时间。
中介变量是赞助性教育培训,主要用于考察党员身份是否通过赞助性教育培训影响公职精英地位获得。
控制变量包括:(1)地区变量,包括东、中、西三个地区;(2)性别,虚拟变量,1表示男性,0表示女性;(3)年龄,指受访者在2008年时的年龄。在本研究中,控制变量均作为非时变变量来处理。
各变量描述性统计结果(未加权)见表1。

四、主要发现
表2报告了两类精英地位获得的离散时间事件史分析的最大似然估计结果。党员身份、父亲阶层地位对两类精英地位的获得表现出截然不同的效应,显示二元精英路径的存在。
(一)党员身份与精英地位获得
在公职精英地位获得模型中,相较于非党员,党员身份在各个时期对获得公职精英地位的效应均具有高度的统计显著性。在改革前,党员身份使其成为公职精英的机会增加大约两倍;在改革早中期,党员身份使之增加大约80.7%;而在中国加入WTO后的改革深化期,党员身份使之增加大约1.8倍。这些发现支持了假设1。党员身份在改革前后各时期都更有可能增加成为公职精英的机会。1949-2008年,党员身份对成为公职精英的效应呈U型趋势,表明在公职精英遴选上,政治忠诚的重要性在改革早中期经历一段时间的弱化后,在改革深化期又重新被重视和强调。
在市场精英地位获得模型中,党员身份则表现出完全不同的效应。相比于非党员,在改革早中期,党员身份会使成为市场精英的机会减小大约22.0%;在改革深化期,党员身份使之减少大约36.0%。虽然这些减小并未达到统计显著性水平,但它表现出不同于公职精英地位获得模型的趋势,增强了我们对假设1的信心,也从资格限制上支持了双重精英路径命题。
(二)教育程度与精英地位获得
表2的结果还显示,相较于初中及以下教育程度,高中及中专等中等教育,在改革前使其成为公职精英的机会增加大约3.6倍,在改革早中期使之增加大约6.0倍,在改革深化期使之增加大约4.8倍。在改革前,与高中及中专等中等教育程度相比,大学及以上高等教育虽能增加成为公职精英的机会,但不具有统计显著性,表明这一时期在公职精英的遴选上,强调政治忠诚有可能是以牺牲能力为代价的。在改革早中期,与高中及中专等中等教育程度相比,大学及以上高等教育可使其成为公职精英的机会增加大约2.1倍,在改革深化期,使之增加大约3.9倍。随着改革的推进,教育程度尤其是高等教育程度对成为公职精英的效应呈上升趋势。这些发现有力地支持了假设2a和假设2b,表明随着改革进程的推进,众多政治忠诚者之间的内部竞争变得日益激烈。在政治忠诚的同时,才能出众对成为公职精英也变得越来越重要。

较高的教育程度同样能够增加成为市场精英的机会。相较于初中及以下教育程度,高中及中专等中等教育在改革早中期使其成为市场精英的机会增加大约1.8倍,在改革深化期,使其增加大约3.4倍。在改革早中期,与高中及中专等中等教育程度相比,大学及以上高等教育的效应也具有高度的统计显著性,使其成为市场精英的机会增加大约2.8倍,其效应比对成为公职精英的效应更大。在改革深化期,与高中及中专等中等教育程度相比,大专及以上高等教育使成为市场精英的机会增加大约1.5倍,其效应比对成为公职精英的效应要小一些。这可能是因为,一方面,随着教育程度的提高,公职精英的选拔日益重视文凭所传达的能力,尤其是在教学科研和政策研究部门,高等教育文凭是成为公职精英的重要遴选标准。另一方面,市场精英的选拔除了重视文凭所传达出的能力信息外,还有可能重视文凭无法传达的诸如管理等方面的实际工作能力。由于所用数据资料缺少相应的指标,本文无法检验这些能力的效应。考察市场精英模型还可以发现,除了教育程度外,党员身份、家庭背景因素对成为市场精英的效应均没有达到统计显著性水平。这些发现支持了假设7a和假设7b,表明市场精英地位的获得是参与者依靠自身资格,依据普遍主义的绩效能力原则通过公开竞争而获得的结果。
(三)赞助性教育培训的中介效应
在表3中,本文在表2中各个模型的基础上引进了赞助性教育培训变量。考察表3中的公职精英模型和市场精英模型可以发现,赞助性教育培训仅对公职精英地位获得的效应具有统计显著性,对市场精英地位获得则未达到统计显著性水平。党员身份和教育程度变量的系数在方向和显著性上与模型3中是一致的,表明这些变量的效应具有稳健性。
在改革前,赞助性教育培训使其成为公职精英的机会增加大约74.6%;在改革早中期,使机会增加大约33.6%;在改革深化期,使机会增加大约1倍。1949-2008年,赞助性教育培训对成为公职精英的效应的变化趋势与党员身份效应的变化趋势相似,也呈U型。经历了改革早中期对公职精英候选人培养的重视程度下降后,改革深化期不但重新强调了政治忠诚的重要性,还重新提高了对公职精英候选人培养的重视程度。这些发现支持了假设4。
为了进一步考察党员身份是否通过赞助性教育培训影响公职精英地位获得,笔者运用KHB方法(Breen et al.,2013)对赞助性教育培训的中介效应进行了分析。结果显示,在控制其他变量影响的情况下,在改革前、改革早中期和改革深化期,党员身份在简化模型中的总效应(风险发生比)分别为3.019、1.807和2.924。在全模型中的直接效应分别为2.925、1.776和2.895;通过赞助性教育培训的间接效应分别为1.032、1.017和1.010,均大于1。这些结果支持了赞助性教育培训在党员身份影响公职精英地位获得中具有中介效应的判断。

赞助性教育培训对成为市场精英不具有显著影响,在改革深化期甚至还表现出负向效应,即赞助性教育培训使成为市场精英的机会减少大约5.5%。
结合表2中的发现与表3中赞助性及教育培训在各个时期仅对公职精英地位获得有效应而无助于甚至减小市场精英地位获得机会的发现,笔者认为,在公职精英地位获得中存在着赞助性流动,公职—市场二元精英地位获得呈双重路径的论辩也从赞助性教育培训上得到了进一步的支持。
(四)赞助性教育培训的获得机会
本文认为政治忠诚者、父辈如果是闭合性精英阶层的成员或者具备闭合性精英地位的准入资格,更有可能通过赞助性流动获得公职精英地位。因此,有必要进一步考察党员身份、父亲党员身份、父亲公职中产及以上地位,是否影响赞助性教育培训机会的获得。表4报告了这些变量对赞助性教育培训的效应。
本人党员模型1显示,相较于非党员,党员身份会增加大约21.9%的赞助性教育培训获得机会。假设3得到了支持。但在不同时期,党员身份对赞助性教育培训机会获得的效应却有所波动。考察本人党员模型2中党员身份、时期的主效应与二者交互效应,可以发现,与改革前相比,党员身份对赞助性教育培训获得机会的效应,在改革早中期有所上升,进一步支持了假设3。党员身份对赞助性教育培训获得机会的效应在改革深化期则有所减小。
父亲党员模型1显示,相较于非党员,父亲的党员身份会增加子女大约38.6%的赞助性教育培训获得机会。进一步考察父亲党员模型2中父亲党员身份的主效应、时期效应及其交互效应,可以发现,与改革前相比,父亲党员身份在改革早中期和改革深化期的效应呈逐步增大趋势。这些发现支持了假设5。
父亲阶层模型1显示,相较于其他阶层,父亲为中产及以上公职阶层地位会增加大约8.9%子女获得赞助性教育培训的机会。进一步考察父亲阶层模型2中父亲阶层地位的主效应、时期效应及其交互效应,可以发现,与改革前相比,父亲为中产及以上公职阶层地位在改革早中期和改革深化期的效应呈增大趋势。这些发现支持了假设6。
总的来看,本人党员身份、父亲党员身份、父亲公职中产及以上地位都能增加赞助性教育培训机会。


五、总结与讨论
在转型经济里,行政协调与市场协调分别在公有与私有部门里发挥主导作用,形成了相应的权威型支配—服从结构和市场型支配—服从结构,以及与这两种支配结构相应的分别由支配者阶层、中间阶层和被支配者阶层构成的双重分层体系。而公职—市场精英作为权力精英,就是在这种双重分层体系中居于支配地位的阶层。虽然按照这种逻辑所划分出的每类精英内部在其他方面都具有一定程度的异质性,但其同质性却具有逻辑统一性,即在支配—服从的阶层关系中居于支配者地位,反映了精英阶层的权力来源。表5概括了两类精英的地位类型和特征。

整合封闭与开放性社会关系、赞助性与竞争性社会流动概念,本文认为,在两种分层体系中,分别存在着两种不同的精英地位获得途径。公职精英地位和市场精英地位在开放性程度、成员资格上表现出不同的特征。前者在成员遴选上以政治正确的价值理性为引导,更有可能以政治忠诚为基本资格,具有一定程度的闭合性。后者在成员遴选上则以效用最大化的工具理性为引导,更有可能以普遍主义的绩效能力为资格,具有较高程度的开放性。具备忠诚资格者更有可能通过赞助性社会流动获得公职精英地位,而市场能力突出者则更有可能通过竞争性社会流动获得市场精英地位。由此形成了公职—市场精英地位获得的双重路径。
基于上述论辩,本文提出了一组关于两类精英地位获得的研究假设,并运用离散时间的事件史分析分析CGSS2008资料,对假设进行了检验。研究发现:政治忠诚者更有可能得到赞助性教育培训机会,进而在组织和已有公职精英的赞助下成为新成员;与此同时,在改革前以牺牲能力为代价而强调特殊主义忠诚的情况,随着改革的推进发生了明显的变化;在众多政治忠诚者内部,能力竞争也变得日益重要,由受教育程度,尤其是高等教育程度来衡量的个人能力日益成为脱颖而出的促成因素。此外,父辈的党员身份和公职中产地位对子女获得赞助性教育培训机会,进而成为公职精英也起到了一定的促进作用。与公职精英地位获得途径形成鲜明对比,在市场精英地位的获得中,无论家庭背景还是本人的党员身份,都没有表现出显著的作用,只有用教育程度来衡量的个人能力是决定性因素。虽然能力越来越成为两类精英地位获得的合法性依据,但政治忠诚对获得公职精英地位而言,却是不可忽略的基本资格。
尽管本文没有把代际阶层地位再生产作为讨论的重点,但一些发现也值得在这里做一些讨论。表3中市场精英模型(2)显示,在1978-2000年,父亲的阶层地位为市场中产及以上并不能增加子辈成为市场精英的机会,反而会使其降低大约70.4%。在2001-2008年,父亲的阶层地位为市场中产及以上,则能使子辈成为市场精英的机会增加大约77.7%。虽然这些系数并不显著,但就其所反映的趋势而言,随着市场精英地位的稳固,其“再生产”性也有增强趋势。1978-2008年市场快速发育,结构性市场经精英地位不断出现,基于普遍主义的能力资格,市场精英地位获得呈现为一种相对开放的社会过程。随着市场精英地位的稳固,从代际再生产过程来看,市场精英群体是否日趋闭合,有待进一步探讨。
总的来看,研究发现支持了前文所提出的主要假设。这些发现不但检验了公职—市场精英类型学以及精英地位获得的双重路径命题的经验适用性,还为转型社会的二元分层体系的存在提供了进一步的支持。表6进一步概括了这些发现。

本文所提出的公职—市场精英类型学,以产权制度及其与国家权力之间的关系以及相应的协调机制为基础,其理论逻辑是完全不同于已有的基于新阶层理论的党政管理精英—专业技术精英类型学的。本文所提出的公职—市场精英地位获得的双重路径的理论思路,也完全不同于基于新阶层理论的二元精英路径模型的思路。
然而,本文尚有一些暂未克服的问题。其一,本文所用数据相较陈旧,受收集时间的限制,无法涵盖近十余年来的新变化。国内已发布的其他资料虽截止年份更近,但却缺少必要的变量信息。近十余年来,中国社会转型在许多方面表现出新变化,也可能在公职精英、市场精英地位获得上有了新的变化趋势。这一问题有待用新的有效资料来回答。其二,在已经发布的CGSS数据中,2008年度调查的样本量是较小的。本研究的有效样本量并不够大,尤其是所关注精英阶层在样本中的比例原本就较小,在分时期进行分析时,样本量缺陷有可能导致估计结果不够稳健,一些交互项的效应更有可能存在这方面的问题。
本文的研究发现和结论具有一定的政策启示。
第一,决策部门要充分意识到市场精英与公职精英共同构成了转型期社会经济生活的支配力量,不仅如此,由于多种经济成分长期并存,两类精英也将长期并存。两类精英虽有着不同的地位获得路径,但都是转型社会的英才;他们是经济社会发展的重要能动性力量,在国家治理体系、社会经济组织管理中居于支配性地位。在实施人才强国的战略中,对市场精英,要像党的十九大报告中指出的那样,实行更加积极、开放、有效的人才政策,把党内外优秀人才聚集到包括推进国家治理体系与治理能力现代化建设在内的现代化事业上来。
第二,在精英统合工作中,对市场精英既要因势利导地加以团结,又要尊重本研究发现所揭示的流动模式背后的社会力量。本研究的结果表明:公职精英与市场精英的成员资格,一个以价值理性为导向,一个以效用最大化的工具理性为导向,这两种理性之间可能存在一定程度的张力。这种张力的深层根源在于行政协调机制和市场协调机制的差异,绩效能力的遴选机制是市场协调机制正常发挥作用的表现。如果在实际工作中片面地以价值理性去约束工具理性,就可能出现市场协调机制被行政协调机制所取代,市场能力因为被过分约束而导致失去活力、效率低下的情形。在这样的情形下以及人才跨国 流动机制的作用下,人才流失将难以避免。
第三,对市场精英除了“逆向选拔”,还可以开辟出多种外围组织性的社会团体渠道,形成更广泛意义上的“政治吸纳”。既然在市场精英地位获得上普遍主义的绩效起主导作用,赞助性机制无助于甚至减小成功走向市场精英的机会,那么,对既有市场精英的政治吸纳,就应该注重吸纳策略及其与绩效能力原则的兼容性。在充分尊重市场协调机制的绩效能力原则、保护市场精英在经济和社会事业等方面创新能力的同时,通过创造开放包容的制度环境,吸纳并充分发挥他们的积极作用和能量,进一步推进国家治理体系与治理能力现代化事业的发展。
作者单位:2026年足球世界杯直播社会学系
责任编辑:刘保中
