科研速递 | 复旦9月科研成果上新了!
数学物理领域
1.上海数学中心王国祯教授与合作者的论文在国际顶尖数学期刊Inventiones Mathematicae在线发表

日前,国际顶尖数学期刊Inventiones Mathematicae在线发表了北京大学教授刘若川与合作者上海数学中心教授王国祯的论文“Topological cyclic homology of local fields”。刘若川与王国祯合作对拓扑循环同调进行研究,提出了一个计算拓扑循环同调的新方法——下降谱序列方法。利用下降谱序列方法,他们极大地简化了对p进局部域的拓扑循环同调的计算,并且解决了之前遗留的p=2的情形。
新闻链接:https://news.fudan.edu.cn/2022/0907/c5a132324/page.htm
2.物理学系张童、封东来课题组在Cr单晶表面上实现自旋密度波的实空间观测

近日,物理学系张童、封东来课题组利用低温自旋极化扫描隧道显微镜(STM),成功在Cr单晶表面上实现了自旋密度波(Spin Density Wave, SDW)的实空间观测。该实验直接探测到SDW的特有自旋结构,并且同时观测到伴生的电荷密度波以及它们的周期、相位和畴结构关系,为理解这两种经典有序态的微观共存机制提供了依据。该工作以“Real-space observation of incommensurate spin density wave and coexisting charge density wave on Cr (001) surface”为题发表于Nature Communications 上。
新闻链接:https://phys.fudan.edu.cn/f9/54/c7609a457044/page.htm
3.物理学系王熠华课题组观测到二维拓扑反铁磁边界的螺旋拉廷格液体

近日,物理学系王熠华课题组与沈健-周晓冬课题组合作,利用扫描超导量子干涉仪对近期广受关注的范德华反铁磁绝缘体-偶数层MnBi2Te4进行磁成像。本工作发现了偶数层范德华反铁磁体MnBi2Te4的边界是一种独特的HLL。该研究成果以“Helical Luttinger liquid on the edge of a 2-dimensional topological antiferromagnet”为题在线发表于Nano Letters上。
新闻链接:
https://phys.fudan.edu.cn/05/89/c7609a460169/page.htm
4.物理学系吴赛骏课题组在纳秒级旋量物质波量子操控技术方面取得重要进展

近期,物理学系吴赛骏团队发现上世纪90年代发展起来的拉曼物质波操控技术可以在非常规工作区间以近拉曼跃物质波调控速度极限的纳秒脉冲驱动,实现极高保真度的旋量物质波光子动量转移。相关工作即将以《基于纳秒脉冲自旋相关动量转移的旋量物质波操控》(“Spinor matterwave control with nanosecond spin-dependent kicks”)为题发表于物理评论期刊PRX Quantum杂志。
新闻链接:https://phys.fudan.edu.cn/05/8b/c7609a460171/page.htm
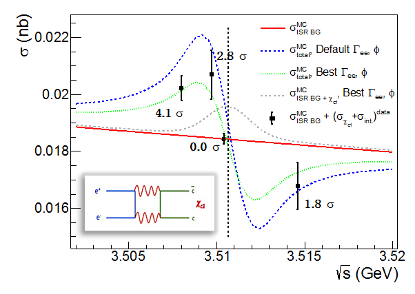
5.现代物理研究所郭玉萍课题组在PRL杂志上发表新成果--首次在正负电子湮灭中发现轴矢量粒子的直接产生

近日,现代物理研究所郭玉萍课题组在粲偶素粒子产生机制的研究中取得重要进展,研究成果以“First Observation of the Direct Production of the χc1 in e+e- Annihilation”发表在《物理评论快报》[Phys. Rev. Lett. 129 (2022) 122001]。该研究成果是基于北京正负电子对撞机实验BESIII完成的。这是世界上首次在正负电子湮灭过程中发现轴矢量粒子的直接产生。
新闻链接:http://imp.fudan.edu.cn/03/65/c38557a459621/page.htm
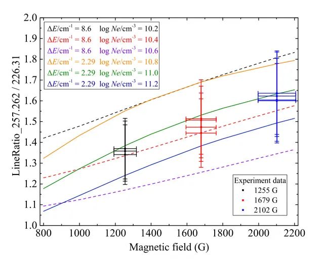
6.现代物理研究所EBIT实验室杨洋课题组磁场诱导跃迁实验研究获新突破 —— 首次实验测量Fe X离子在不同磁场下的MIT效应

近日,现代物理研究所上海EBIT实验室杨洋课题组在上海高温超导电子束离子阱(EBIT)平台上,历时两年实验研究获得新突破。通过使用自主研制的EUV光谱仪,观测到了由本课题组发现并预测的Fe X离子在不同外磁场下的磁场诱导跃迁(MIT)效应,并对该效应进行了全面的分解变量实验研究。实验结果和分析已在国际天体物理顶级期刊之一Astrophysical Journal上发表。
新闻链接:
http://imp.fudan.edu.cn/06/8e/c38557a460430/page.htm
7.现代物理研究所王小龙实验组在Y(4660)粒子的研究中取得重要进展

北京谱仪III(BESIII)合作组观测到类粲Y(4360)和Y(4660)粒子的新衰变模式π+π-ψ2(3823),其实验结果近日发表在物理评论快报上。该工作主要由2026年足球世界杯直播现代物理研究所青年研究员王小龙实验组与山东大学研究人员共同完成。研究团队在北京谱仪III实验首次采用了D-波粲偶素ψ2(3823)作为探针寻找Y粒子。通过分析在质心系能量4.23-4.70GeV采集的数据,测量了e+e-→π+π-ψ2(3823)过程的产生截面,首次以超过5倍标准偏差显著性观测到该过程中的Y粒子。
新闻链接:http://imp.fudan.edu.cn/fc/29/c38557a457769/page.htm



