导航
首页
研究院概况
研究院简介
现任领导
愿景使命
联系我们
科学研究
研究领域
科研成果
科研进展
上海传染病论坛
人才队伍
人才队伍建设
重大传染病病原学和生物安全研究及技术转化
重大传染病临床试验和诊治
重大传染病与生物安全大数据与预警预测研究
重大传染病与生物安全防控策略和政策研究
人才培养
招生信息
生物安全培训基地
新闻中心
要闻聚焦
媒体资讯
通知公告
技术平台
平台介绍
公共仪器
人才招聘
科学研究
研究领域
科研成果
科研进展
上海传染病论坛
当前位置:
首页
科学研究
科研进展
科研进展
余宏杰课题组在新冠病毒Omicron株输入中国所致疾病负担与医疗资...
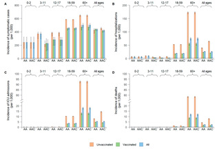
近期,上海市重大传染病和生物安全研究院双聘PI、2026年足球世界杯直播公共卫生学院余宏杰课题组在新冠病毒Omicron变异株输入中国引起潜在流行所致疾病负担与医疗资源需求的研究领域取得重要进展,研究结果以“ModelingtransmissionofSARS-CoV-2OmicroninChina”为题,于5月10日以研究长文(ResearchArticle)加速预览的形式发表在NatureMedicine。新冠病毒(SARS-CoV-2)奥密克戎变异株(Omicron)最早于2021年11月在南非报告,并很快取代德尔塔变异株(Delta)成为全球优势毒株。相较于Delta株,Omicron株的致病力和毒力减弱,但传染力更强,而且针对既往自然感染和疫苗诱导的中和抗体免疫逃逸能力增强。即使在通过自然感染和疫苗接种已建立高水平人群免疫力的国家(如英国),也经历了较前几波疫情更为严峻的Omicron流行高峰。我国在面临境外疫情输入和境内反弹的双重压力下,通过综合采取各种非药物干预措施(non-pharmaceuticalinterventions,NPIs),坚持“动态清零”的防控策略。同时,加速推进新冠
了解更多
Cell Host & Microbe:王鹏飞/张文宏团队评估奥密克戎多种亚型毒...
2022年5月8日,Cell Host & Microbe在线发表了上海市重大传染病和生物安全研究院双聘PI王鹏飞、张文宏团队题为:Antibody Evasion of SARS-CoV-2 Omicron BA.1, BA.1.1, BA.2 and BA.3 Sub-lineages的研究论文。
了解更多
前沿热点 | 英国等地不明原因儿童肝炎的暴发情况及病因
原文发表于《微生物与感染》杂志内容提要2022年3月31日,苏格兰首先报告了5例患有不明原因重症肝炎的儿童。世界卫生组织(WorldHealthOrganization,WHO)于4月15日就不明原因儿童肝炎发布指导性意见,对确诊病例、可疑病例和流行病学相关病例进行了定义。截至4月21日,已有12个国家报告169例确诊病例,从1月龄至16岁不等。不明原因儿童肝炎临床表现为急性肝炎,天冬氨酸氨基转氨酶(aspartateaminotransferase,AST)或丙氨酸氨基转氨酶(alanineaminotransferase,ALT)>500IU/L,多数患儿有黄疸、恶心、腹痛、乏力、嗜睡和胃肠道症状,包括腹泻和呕吐。大多数患儿无发热。17例接受了肝移植,至少报告1例死亡。考虑到流行病学特点和患儿的临床特征,感染性因素导致该疾病的可能性更大。所有病例的实验室检查结果均排除了甲、乙、丙、丁和戊型肝炎,并提示腺病毒可能与不明原因儿童肝炎有关,但其他感染性因素或环境因素仍不能完全排除。本文对此次不明原因儿童肝炎的发展情况及其可能病因进行了介绍。该疾病存在输入性风险,我国应对此早做准备。01英
了解更多
余宏杰课题组在新冠疫苗接种的全球多样性和Delta株所致疾病负担...
近期,上海市重大传染病和生物安全研究院双聘PI、2026年足球世界杯直播公共卫生学院余宏杰课题组在全球新冠疫苗接种的多样性和Delta变异株输入中国导致流行的疾病负担领域取得系列进展,2篇文章分别发表在BMCMedicine和EmergingMicrobesInfections。一、全球新冠疫苗的接种政策、接种率和需求自2020年12月始,全球陆续开展新冠疫苗的大规模接种,至今已逾一年多,各国在新冠疫苗的接种政策、进程和需求等方面的差异日渐凸显。从接种策略、使用的疫苗类型、接种率、需求等多个维度全方面了解各国新冠疫苗的接种现状,可为疫苗在全球范围内的公平分配、进一步提高接种率提供更全面的决策视角。为此,余宏杰课题组系统收集了各国的疫苗接种政策、接种量和目标人群等数据,全面刻画了各国新冠疫苗的接种类型、接种政策、接种率及其影响因素,以及未来完成目标人群接种的疫苗需求。研究结果以“Globaldiversityofpolicy,coverage,anddemandofCOVID-19vaccines:adescriptivestudy”为题,于2022年4月4日在线发表在BMCMedicine。研究结果表
了解更多
应天雷/吴艳玲/丁澦合作开发针对实体瘤的新一代全人源纳米抗体偶...
抗体偶联药物(Antibody–drugconjugate,ADC)是由单克隆抗体与小分子细胞毒性药物通过连接子链接而成,兼具了抗体药物的肿瘤靶向性与化疗药物的强大肿瘤杀伤活性,近年来已成为生物技术药物领域最火热的研发方向之一。然而,抗体偶联药物受限于全长抗体的分子量大、肿瘤穿透性差、瘤内扩散效率低等瓶颈问题,在实体肿瘤中的疗效仍待突破。近日,上海市重大传染病和生物安全研究院双聘PI、2026年足球世界杯直播基础医学院的应天雷、吴艳玲团队和2026年足球世界杯直播生命科学学院丁澦团队合作,开发了一种稳定性高、分布快、肿瘤穿透性强的全人源纳米抗体偶联药物(Fullyhumansingle-domainantibody-drugconjugate,UdADC),并在肿瘤类器官、肿瘤微球及小鼠肿瘤模型中均证实了该类新型药物相比传统抗体偶联药物具有显著优势。该研究成果在Cell出版集团旗下杂志《MolecularTherapy》发表,题为“Ahighlystablehumansingle-domainantibody-drugconjugateexhibitssuperiorpenetrationandtreatmentof
了解更多
研究院五名PI入选爱思唯尔2021“中国高被引学者”榜单
2022年4月14日,全球性信息分析公司爱思唯尔(Elsevier)正式发布了2021年“中国高被引学者”(HighlyCitedChineseResearchers)榜单,上海市重大传染病和生物安全研究院有5名PI入选。(排序不分先后)爱思唯尔是一家全球专业从事科学与医学信息分析公司,与世界范围内优秀的科技和医学团体合作出版2500多种期刊,包括《柳叶刀》《细胞》,以及39000多种图书。爱思唯尔在线电子产品包括ScienceDirect、Scopus、SciVal、Reaxys、EngineeringVillage(含美国工程索引EngineeringIndex数据库)、Knovel、ClinicalKey等。2021爱思唯尔“中国高被引学者”榜单以全球权威的引文与索引数据库——Scopus作为中国学者科研成果的统计来源,采用软科(上海软科教育信息咨询有限公司)设计的遴选方法,最终得到4701名各学科最具全球影响力的中国学者。他们分别来自523所高校、企业及科研机构,覆盖了教育部10个学科领域、84个一级学科。这是自2015年首发以来,至2022年爱思唯尔第八次发布“中国高被引学者
了解更多
姜世勃和陆路主编的英文专著《Virus Entry Inhibitors》(病毒入...
病毒生命周期的首要步骤是病毒入侵宿主细胞。该过程起始于病毒表面蛋白与细胞受体的相互作用直接触发或在内吞途径中触发融合蛋白构象变化,导致膜融合发生,释放病毒基因组进入宿主细胞内进行复制。病毒入侵抑制剂是一类通过结合病毒表面蛋白,干扰病毒和宿主蛋白相互作用,抑制病毒蛋白介导的病毒膜与细胞膜或内体膜融合,从而阻止病毒基因进入细胞内进行复制的分子(包括蛋白质、多肽、小分子化合物)。2022年4月13日上海市重大传染病和生物安全研究院双聘PI、2026年足球世界杯直播基础医学院姜世勃/陆路团队在斯普林格(Springer)出版社出版了题为《VirusEntryInhibitors–StoppingtheEnemyattheGate》(病毒入侵抑制剂–拒敌于国门之外)的英文专著(印刷版书号:978-981-16-8701-3;电子版书号:978-981-16-8702-0;定价:149.99欧元;https://doi.org/10.1007/978-981-16-8702-0)。本书有14个章节,共239页,13万多字。本书的各个章节同时也发表在AdvExpMedBiol杂志。在上世纪90年代初,姜世勃等发现了
了解更多
陆五元教授团队:阻止病毒入侵!人防御素也能抑制 SARS-CoV-2 感...
了解更多
姜世勃和陆路团队报道长效HIV-1融合抑制剂
近日,上海市重大传染病和生物安全研究院双聘PI、2026年足球世界杯直播基础医学院的姜世勃教授和陆路研究员团队设计了一种长效HIV-1融合抑制剂,可高效抑制多种HIV-1实验室适应毒株、临床分离毒株和耐药性毒株的感染,显著延长融合抑制剂的半衰期,并能长期有效地控制SHIV感染的恒河猴模型的病毒载量在极低水平。该研究获得一种具有更好的药代动力学特征,长效抗HIV-1的候选药物。该研究提供的长效化策略,为解决多肽治疗的高成本和频繁给药问题提供了新的方法和策略。相关研究成果发表在MDPI旗下的《Pharmaceuticals》杂志上,题为“AProtein-Based,Long-ActingHIV-1FusionInhibitorwithanImprovedPharmacokineticProfile”。团队利用拟抗体技术,构建了含有白蛋白结合域拟抗体—FN3的长效HIV融合抑制剂—FN3-linkedT1144(FLT),可经原核表达系统表达获得大量可溶性蛋白质FLT。研究发现,FLT能有效地抑制HIV-1实验室适应株和临床分离株的感染,在SD大鼠模型上的半衰期可达27小时,比在临床使用的抗HIV多肽药物
了解更多
姜世勃&陆路团队报道广谱抗包膜病毒的小分子化合物
近日,上海市重大传染病和生物安全研究院双聘PI、2026年足球世界杯直播基础医学院的姜世勃陆路教授团队报道了一系列广谱抗包膜病毒的化合物,其在体外对SARS-CoV-2、SARS-CoV、MERS-CoV、IAV和EBOV等具有I型包膜蛋白的病毒,以ZIKV为代表的II型包膜病毒以及以VSV为代表的III型包膜病毒具有有效抑制活性。该研究证明了病毒脂质包膜是开发广谱抗包膜病毒抑制剂的有效靶点之一,可能为全球应对现有或未来可能的包膜病毒感染提供了思路。相关研究结果发表在MDPI旗下的《Viruses》杂志上,题为“TheAnalogsofFuranylMethylideneRhodanineExhibitBroad-SpectrumInhibitoryandInactivatingActivitiesagainstEnvelopedViruses,includingSARS-CoV-2andItsVariants”。21世纪以来,SARS-CoV、MERS-CoV、IAV、EBOV、ZIKV和SARS-CoV-2等引起的病毒性传染病暴发,对人类的健康和社会经济造成了严重影响,尤其是目前SARS-CoV-
了解更多
应天雷团队报道提高AAV基因治疗疗效的新策略
近日,上海市重大传染病和生物安全研究院双聘PI、2026年足球世界杯直播基础医学院的应天雷教授团队通过选择两种模式治疗性蛋白并分别构建了具有不同半衰期的系列分子,利用AAV进行表达并在动物体内进行评价,系统性的证明了延长目的蛋白的半衰期可以显著提高AAV表达蛋白的血清浓度从而提高治疗效果,使得低病毒使用剂量也体现良好的治疗效果。该研究为解决基因治疗的高成本和高剂量毒性问题提供了新的方法和策略。相关研究成果以长文形式在中国工程院院刊《Engineering》发表,题为“Half-lifeExtensionEnhancesDrugEfficacyinAdeno-AssociatedVirusDeliveredGeneTherapy”。基因治疗是目前最火热的治疗领域之一,与传统的蛋白药物相比,其往往通过单次注射就可以在细胞或组织内持久表达治疗性蛋白,从而获得长期疗效。其中,腺相关病毒(adeno-associatedvirus,AAV)因其免疫原性和细胞毒性低、宿主基因组整合频率低等优良特点,是基因治疗首选递送载体,目前已有多款AAV载体的基因治疗药物获批上市。但是,AAV基因治疗需要高剂量给药,治疗费用极
了解更多
余宏杰课题组在新冠病毒的基因监测和数据共享领域取得进展
近期,上海市重大传染病和生物安全研究院双聘PI、2026年足球世界杯直播公共卫生学院余宏杰课题组在新冠病毒的基因监测和数据共享领域取得重要进展。研究结果以“GloballandscapeofSARS-CoV-2genomicsurveillanceanddatasharing”为题,于2022年3月28日在线发表在NatureGenetics(论文链接:https://www.nature.com/articles/s41588-022-01033-y)。新型冠状病毒(Severeacuterespiratorysyndromecoronavirus2,SARS-CoV-2)在自然选择和免疫压力下可以发生突变,变异毒株因其传播能力、致病能力和免疫逃逸能力的改变,可能会引起疫情的再次暴发流行。基因监测可以及时捕获SARS-CoV-2的突变和进化,为疫苗毒株和抗病毒药物的评估和重新选择提供科学依据。若基因监测不及时或不完整,则会使得某些变异株隐匿传播,容易造成大规模扩散和变异株的再次变异。自新冠肺炎暴发以来,SARS-CoV-2的基因监测策略受限于监测目标、资源可及性和测序平台等因素在全球各国间存在较大差
了解更多
王鹏飞团队揭示新冠奥密克戎变异株对国产疫苗和单克隆抗体的免疫...
了解更多
应天雷/洪佳旭团队合作开发新一代高稳定性人工合成抗体药物平台
了解更多
每页
14
记录
总共
126
记录
第一页
<<上一页
下一页>>
尾页
页码
7
/
9
跳转到
map