信息领域
1.信息科学与工程学院金亚秋院士团队关于月球南极永久阴影区着陆点选取的研究工作取得进展

近日,信息科学与工程学院金亚秋院士、柳钮滔青年副研究员、徐丰教授等人在《深空探测学报》上发表论文提出利用合成孔径雷达图像来为嫦娥七号飞行器寻找着陆点的工作,嫦娥七号任务将尝试在太阳照射区(如月球南极附近的陨石坑边缘)进行着陆,着陆点也将位于永久阴影区附近,以便进如永久阴影区进行采样,以检测水和其他挥发物。
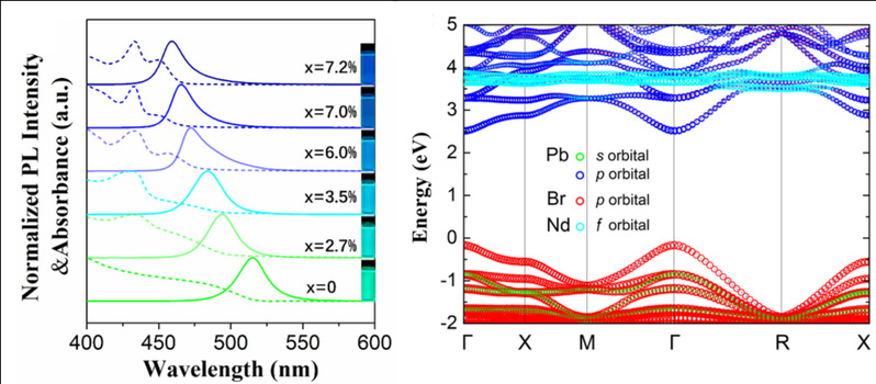
2.信息科学与工程学院张树宇课题组与合作者在高光效蓝光钙钛矿纳米晶研究取得重要进展

近日,信息科学与工程学院电光源研究所张树宇副研究员与剑桥大学Bartomeu Monserrat合作团队在高光效蓝光钙钛矿纳米晶研究上取得重要进展。9月3日,相关研究成果以“Highly Efficient Blue-Emitting CsPbBr3 Perovskite Nanocrystals through Neodymium Doping”为题,发表于期刊Advanced Science。该物理机制为钙钛矿纳米晶组分工程提供了新的思路方案,进一步拓宽了钙钛矿材料的应用前景。
3.信息科学与工程学院詹义强/蔚安然课题组:薄膜底部相调控实现高效率准二维钙钛矿太阳能电池

信息科学与工程学院詹义强/蔚安然团队首先提出了使用恒温热旋涂的制备工艺来代替传统的衬底预热的方法。通过这种方法,使薄膜在旋涂过程中的温度保持不变,从而实现更大的操作窗口和更好的实验重复性。在此基础上,该团队在前驱体中引入了不同比例的DMSO对薄膜的结晶过程进行调控,发现在DMSO 0.25的条件下,器件实现了最高的性能。
4.计算机科学技术学院杨珉教授、张谧教授团队在USENIX安全研讨会上提出首个高隐蔽性的隐式文本后门攻击

近期,在举办的USENIX安全研讨会(USENIX Security Symposium)中,计算机科学技术学院的杨珉教授和张谧教授等人率先提出基于文本风格的隐式NLP模型后门攻击技术,能有效绕过几乎所有已知后门检测方法。此外,在人工评估中,基于风格的后门文本也具有语义保持性、流畅度高等多种优势。
新闻链接:https://news.fudan.edu.cn/2022/0915/c5a132368/page.htm
5.计算机科学技术学院池明旻团队在ACM国际多媒体会议提出图像和近红外信号联合建模解决纺织品成分鉴别问题的新思路

在2022年举办的ACM国际多媒体会议(ACM International Conference on Multimedia)中,计算机科学技术学院的池明旻老师及其博士生彭博等人针对当前纺织品纤维成分鉴别技术存在的短板,率先提出了结合近红外信号与显微图像联合建模的新思路。该团队提出了一种融合近红外信号和高清图像的信号与图像关联网络(ISiC-Net)。
新闻链接:
https://news.fudan.edu.cn/2022/0926/c5a132505/page.htm
6.微纳量子研究院张成课题组与合作者在三维体系中实现一维外尔费米子

近日,微纳电子器件与量子计算机研究院张成课题组与华东师范大学袁翔课题组合作,通过利用三维拓扑绝缘体的朗道能带构建非布洛赫型能带交叉结构,首次在三维体系中实现一维外尔费米子的准粒子激发。相关成果以“Topological Lifshitz transition and one-dimensional Weyl mode in HfTe5”为题在线发表于期刊《自然-材料》(Nature Materials)。
新闻链接:https://inqc.fudan.edu.cn/09/1e/c18367a461086/page.htm
生命医学领域
1.生命科学学院徐书华、生物医学研究院何云刚团队合作重构海南黎族演化历史并溯源百越人群基因谱系

近期,分子进化领域知名国际期刊Molecular Biology and Evolution在线发表了生命科学学院徐书华教授团队、生物医学研究院何云刚研究员、海南医学院林蓉研究员的合作研究成果“Tracing Bai-Yue ancestry in aboriginal Li people on Hainan Island”。研究团队基于全基因组测序数据分析研究了海南黎族的遗传起源、群体历史和适应性进化;并结合我国和越南的侗傣语系族群,重构了“百越”族群的遗传演化模型;为深入了解我国上古人群与当今中华民族的历史渊源提供了基因证据和遗传学视角。
新闻链接:https://life.fudan.edu.cn/09/40/c28140a461120/page.htm
2.生命科学学院麻锦彪、汪海林等团队合作揭示拟南芥METTL4的结构与功能

近日,生命科学学院和遗传工程国家重点实验室麻锦彪教授团队和董爱武教授团队,联合中科院生态环境研究中心汪海林研究员团队,以及牛津大学路德维希癌症研究所施扬教授团队,于Nature Communications 杂志在线发表了题为“Structural insights into molecular mechanism for N6-adenosine methylation by MT-A70 family methyltransferase METTL4”的论文。 研究团队揭示了METTL4特异性识别Am的分子机制,进一步通过结构模拟以及和METTL3活性中心的比较,提出了MT-A70家族共通的特异性识别和甲基化修饰N6-腺苷的催化机制。
新闻链接:https://life.fudan.edu.cn/05/26/c28140a460070/page.htm
3.生命科学学院戚继团队与合作者获得兰花器官发生的时空图谱

近期,戚继团队联合江西农大国春策团队揭示兰花器官起始和发育中基因调控的时空动态变化。研究团队首次将10X Visium技术应用于研究兰科植物蝴蝶兰(Phalaenopsis Big Chili)的花器官发生与发育过程。该研究为理解花器官发生以及特定细胞类型的基因组学和遗传学研究提供了分子层面的信息,相关研究结果发表在Nucleic Acids Research期刊上。
新闻链接:https://life.fudan.edu.cn/fd/b2/c28140a458162/page.htm
4.生命科学学院任国栋团队合作揭示RNA尿苷化与SKI复合物协同调控植物光合作用新机制

近日,生命科学学院任国栋研究员团队与北京师范大学珠海校区王晓彦副教授、深圳大学于宇助理教授等合作在《美国科学院院报》(PNAS)杂志在线发表了题为“Uridylation and the SKI complex orchestrate the Calvin cycle of photosynthesis through RNA surveillance of TKL1 in Arabidopsis”的研究论文。该研究鉴定了RNA尿苷化与SKI复合物协同监控拟南芥卡尔文循环关键酶基因TKL1的转录本状态,防止TKL1位点产生“非法”siRNA,从而保障植物光合作用的正常进行,该工作揭示了植物光合作用调控的一种全新机制。



