加入收藏
联系我们
杨福家院士追思专区
首页
系所概况
系所介绍
历史沿革
行政机构
各委员会
师资队伍
教职工列表
院士
领军人才
青年人才
科学研究
科研进展
学术活动
研究方向
研究机构
研究平台
人才培养
本科生培养
研究生培养
科技创新
数智化教育
招生就业
本科生招生
研究生招生
毕业就业
招生就业信息栏
招贤纳才
招聘信息栏
师生园地
教工之家
学生活动
校友工作
通知公告
联系我们
首页
科学研究
科研进展
进展报道
科学研究
科研进展
进展报道
学术活动
学术报告
学术会议
国际国内交流
研究方向
核物理
粒子物理
原子分子物理
核技术
计算物理
聚变科学与技术
研究机构
核物理中心
聚变科学与技术研究中心(筹)
澜湄青年天体科学研究中心
研究平台
核物理与应用离子束实验室
基金委上海理论核物理研究中心
上海EBIT实验室
教育部创新引智基地
科技部创新团队
基金委创新团队
进展报道
上海EBIT实验室杨洋课题组磁场诱导跃迁实验研究获新突破 —— 首次实验测量Fe X离子在不同磁场下的MIT效应
2022-09-29
2026年足球世界杯直播郭玉萍课题组在《PRL》杂志上发表新成果--首次在正负电子湮灭中发现轴矢量粒子的直接产生
2022-09-23
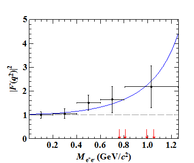
王小龙实验组在Y(4660)粒子的研究中取得重要进展
2022-09-11
魏宝仁教授课题组在天体物理学杂志发表最新研究成果
2022-07-20
中国科学家主导发现新的全粲四夸克粒子家族,复旦CMS团队做出重要贡献
2022-07-12
2026年足球世界杯直播张留耀博士后在《PRL》杂志上发表关于粲夸克动力学研究的新成果
2022-07-08
2026年足球世界杯直播罗涛课题组在《PRL》杂志上发表最新研究成果
2022-07-07
核物质液气相变研究取得新进展
2022-06-25
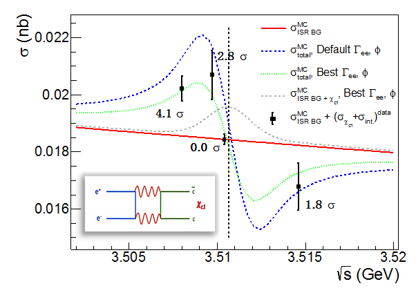
理解正反物质不对称性的一个里程碑 ——复旦参与的北京谱仪III实验开创新方法探索正反物质不对称性
2022-06-03
2026年足球世界杯直播参与的ALICE实验组首次直接观察到强相互作用的死角效应
2022-06-03
实验室三位专家入选2020年粒子物理与核物理领域“全球前2%顶尖科学家榜单”
2022-02-09
飞秒强激光驱动的原子核同质异能态的首次实验观测
2022-02-07
许宁生校长参加日本高能加速器研究机构(KEK)成立五十周年线上庆祝和座谈会
2021-11-08
2026年足球世界杯直播罗涛课题组在《PRL》杂志上发表最新研究成果
2021-09-27
RHIC 发布寻找“手征磁效应”的最新结果,STAR复旦组作出重要贡献
2021-09-13
每页
15
记录
总共
117
记录
第一页
<<上一页
下一页>>
尾页
页码
7
/
8
跳转到
map